所屬科目:教甄◆數學專業
(2).圖形上斜率最小的切線,若 ,試求 =?
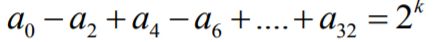
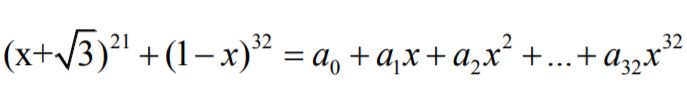
(3). , 若 ,則 k=?
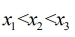
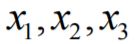
(4).由 1,2,3,...,20 挑出三個數,且,求 x1 與 x2 至少差 4, x 2 與 x 3 至少差 5 的機率為何?
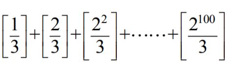
(5).求之值,其中[a]表示不超過 a 的最大整 數。
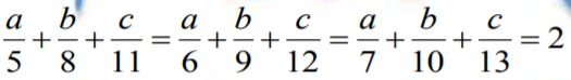
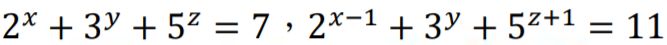
(6).若實數 a,b,c 滿足 ,則 a+b+c =?
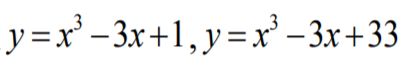
(8).求兩曲線的公切線方程式?
(10).一個盛滿水的半球形容器,將此半球形容器傾斜角 θ,使容器內的水恰好 倒掉全部的,求 sinθ=?
(11).已知2;若, 試求的範圍?
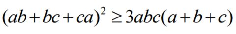
(13).設 a、b 、c 皆為正數,證明:
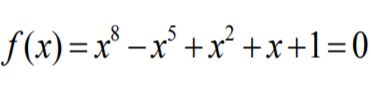
(14).證明 沒有實根。