所屬科目:高中(學測,指考)◆數學
1.設 ,若,則a+b+c+d之值為下列哪一個選項? (A)158(B)162(C)166(D)170(E)174
2.五項實數數列a1,a2,a3,a4,a5的每一項都大於1,且每相鄰的兩項中,都有一數是另一數的兩倍。若,則a5有多少種可能的值? (A)3(B)4(C)5(D)7(E)8
3.如圖,△ABC為銳角三角形,P為△ABC 外接圓外的一點,且與都與圓相切。設∠BPC=θ,試問 cosA的值為下列哪一個選項? (A)sin2θ(B)(C)(D)(E)
4.設都是平面上不為零的向量。若所張成的三角形面積 為6,則所張成的三角形面積為下列哪一個選項? (A)8(B)9(C)12(D)13.5(E)16
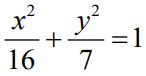
6.坐標平面上有一邊長為3的正六邊形ABCDEF ,其中A(3,0),D(-3,0)。試問橢圓與正六邊形ABCDEF有多少個交點? (A)0(B)2(C)4(D)6(E)8
7.心理學家找了1000位受試者進行暗室實驗,每位受試者都要觀看及辨識6、8、9三張數字卡,發現將實際數字看成某個數字的機率如下表:例如:實際數字6被看成6、8、9的機率分別為0.4、0.3、0.2,而被看成其他 數字的機率是0.1。根據上述實驗結果,試選出正確的選項。 (A)如果實際數字是8,則至少有一半的可能性會被看成是8 (B)如果實際數字是6,則有六成的可能性會被看成不是6 (C)在6、8、9三數字中,被誤認的可能性以9最低 (D)如果被看成的數字是6,則實際上就是6的可能性不到一半 (E)如果被看成的數字是9,則實際上就是9的可能性超過
8.如圖,L為坐標平面上通過原點O的直線,是以O為圓心的圓,且L與有一個交點A(3,4)。已知BC,為上的相異兩點滿足。試選出正確的選項。 (A)L與的另一個交點為(-4,-3) (B)直線BC的斜率為 (C)∠AOC=60° (D)△ABC的面積為 (E)B與C在同一象限內
9.某村的村長選舉設有兩個投票所。已知兩位候選人在各投票所得到的有效票數比例如下表(廢票不列入計算):假設第一投票所與第二投票所的有效票數分別為 x與y(其中x>0,y>0),且以總得票數較高者為當選人。根據上述表格,試選出正確的選項。 (A)當有效票數的總和x+y已知時,就可決定當選人 (B)當x:y的比值小於時,就可決定當選人 (C)當x>y時,就可決定當選人 (D)當甲候選人在第一投票所的有效票數比在第二投票所的有效票數多時,就可決定當選人 (E)當乙候選人在第二投票所的有效票數比在第一投票所的有效票數多時,就可決定當選人
10.在△ABC中,已經知道=4和=6,此時尚不足以確定 △ABC的形狀與大小。但是,只要再知道某些條件(例如:再知道的長度),就可確定△ABC唯一的形狀與大小。試選出正確的選項。 (A)如果再知道cosA的值,就可確定△ABC唯一的形狀與大小 (B)如果再知道cosB的值,就可確定△ABC唯一的形狀與大小 (C)如果再知道cosC的值,就可確定△ABC唯一的形狀與大小 (D)如果再知道△ABC的面積,就可確定△ABC唯一的形狀與大小 (E)如果再知道△ABC的外接圓半徑,就可確定△ABC唯一的形狀與大小
11.平面上有一梯形ABCD,其上底=10、下底=15,且腰長。試選出正確的選項。 (A)∠A>∠B (B)∠B+∠D<180° (C) (D)的長可能是2 (E)
12.設P(X)表示事件X發生的機率,而P(X|Y)表示在事件Y發生的條件下,事件X發生的機率。今有2顆黑球、2顆白球、3顆紅球共7顆大小相同的球排成 一列。設事件A為2顆黑球相鄰的事件,事件B為2顆黑球不相鄰的事件,而事件C為任2顆紅球都不相鄰的事件。試選出正確的選項。 (A)P( A )>P( B ) (B) (C)2P(C|A)+5P(C|B)<2 (D)P(C|A)>0.2 (E)P(C|B)>0.3
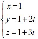
B.坐標空間中有兩條直線L1,L2與一平面E,其中直線 ,而L2的參數式為(t為實數)。若L1落在E上,且L2與E不相交,則E的方程式為 x- y+ z= 。
D.在坐標平面上,是邊長為4的正方形,其中心位在點(1,1),且各邊與坐標軸平行。已知函數的圖形與相交,其中a為實數,則a的最大可能範圍為 ≤ a ≤ 。
E.將寫成科學記號,其中1 ≤ a <10,且n為正整數。若a的整數部分為m,則數對(m,n)=( , )。
F.如圖,機器人在地面上從一點P出發,按照以下規則移動:先朝某方向前進一 公尺後,依前進方向逆時針旋轉45°;朝新方向前進一公尺後,依前進方向順時針旋轉90°;再朝新方向前進一公尺後,依前進方向逆時針旋轉45°;再朝新方 向前進一公尺後,依前進方向順時針旋轉90°,……,以此類推。已知機器人移動的路徑會形成一個封閉區域,則此封閉區域的面積為 平方公尺。(化成最簡根式)
G.在四面體ABCD中,,且,則點D到平面ABC的距離為 。(化成最簡根式)