所屬科目:教甄◆物理科專業
1. 在右圖所示的系統中,有一鉛直向上的力 F 作用在滑輪 A 的軸心處,兩個物塊的質量分別為 m1和 m2, 不計繩子質量且繩子不可伸長,也不計滑輪的重量與摩擦力。則滑輪 A 的軸心的加速度應為何?(重 力加速度以 g 表示)
2. 如右圖所示的線型無窮網絡電路中,各電阻的值均為 r,試求 A、B 兩點之間的等效電阻應為何?
3. 如右圖所示,一平放在光滑水平面上的矩形導體框位於均勻磁場區域內,磁場的強度為 B, 方向沿鉛直向下,現以恆定速度 v 將線框拉出有界的磁場區域(其中虛線為邊界),設磁場的邊 界與線框的一邊平行,且線框的總電阻為 R,周長為 2L,若其中一邊邊長為 d (如圖所示),試 求 d 為多少 L 時,外力將線框拉出磁場區域所做的功為最大值?
4. 如右圖所示,半徑為 r 的導體環上均勻帶總電荷量 q 的正電荷,另一電中性的導 體球(半徑為 R),球心 O 和環心連線長為 a 且與環平面垂直。如果導體球不接地, 則導體球上 A 點的電位應為何?
5. 如圖所示,滑輪與彈簧的質量皆不計。已知彈簧的彈力常數k1= 2k 、 k2= k 。則物體 m 作小幅度簡諧運動週期為何?
6. 在拉塞福的α粒子散射實驗中, α 粒子以初速 v 的速率對金原子核以瞄準誤差(撞擊參數)為 b 入射,過程中α粒子最小 的速率為。則在 α粒子散射過程中,最小的曲率半徑為何?(不計重力)
7. 如右圖所示,質量不計的輕桿AB長度為2L,A端連在固定軸上,B端固定一個質量為2m的小球,中 點C固定一個質量為m的小球。AB桿可以繞A端在鉛直平面內自由轉動,現將輕桿一開始置於水平 位置,然後由靜止釋放,不計各處摩擦力與空氣阻力,重力加速度以g表示,從釋放到鉛直位置, 輕桿對B處小球作功為何﹖
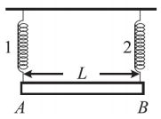
8. 一質量為m、長度為L 的均勻細長桿(A、B為端點)。如圖所示,以兩個相同的彈簧1、2 來懸 掛,若突然將彈簧2剪斷,則剪斷的瞬間,端點A對地的加速度為何?
9. 如圖所示,均勻圓形導體環的直徑上固定一金屬細棒ab,圓心O處為一轉軸,均勻磁場邊界cd 通過圓心,已知B=0.2特斯拉,環的半徑r=0.1公尺,導體環的電阻為0.4歐姆,金屬細棒ab的 電阻為0.1 歐姆,以ω= 100 弧度/ 秒繞軸等速轉動。求當aO進入磁場後,通過bO電流的大小 為何?
10. 在一圓筒氣缸內盛有 20 克的單原子理想氣體,由狀態 1 緩緩變化至狀態 2,倘若變化 過程壓力與體積的關係圖為一斜直線,如右圖所示。已知狀態 1 的溫度為 T,試問此過 程中達到的最高溫度為何?
11. 如圖所示,兩條水平軌道 AC 和 AD 夾角 α,導體 EF 與 AC 和 AD 接觸形成良好迴 路,並以恆定速度 v 沿 AC 方向運動。EF 單位長度的電阻為 r,兩條軌道電阻不計, 均勻磁場垂直進入軌道所在平面,已知 AC = d,試求導體棒 EF 從 A 點運動到 C 點 這段期間電路釋放的總熱能為何?
13. 如圖所示,光滑表面的牆角有一質量為 M 且可自由滑動的木塊,以質量不計且長度為 的細 桿與質量為 m 的小球連接,若細桿與木塊中心的連接處可自由轉動。若先將細桿與小球鉛直 放置,使其以初速為零的方式開始向右轉動,若木塊恰與牆壁脫離時,則此時小球的速率為 何?
14. 如圖所示,兩顆質量為 m 的相同小球,分別繫於自然長度為 a 的輕彈簧兩端,已知輕彈簧的力常數 為 k,並放置於光滑水平面上。今兩球突然分別受一作用力,使得兩球分別獲得垂直輕彈簧方向的速 度 ,隨後運動過程中,輕彈簧最大長度為 3a,試求初速度的量值為何?
第一題 如右圖所示,太陽位於焦點 F,行星 P 繞太陽的軌道為一橢圓,已知此橢圓的半長軸長為 a,半短軸 長為 b,設太陽的質量為 M,萬有引力常數為 G,回答以下各小題:(1)試求行星繞日的面積速率?(以 a、b、G、M 表示);(4 分)(2)試推導行星繞日運行的周期平方與橢圓半長軸長立方的比值?(以 a、b、 G、M 表示) (4 分)
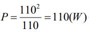
(1)將一規格 110 歐姆之電器接在電壓的方均根值為 110 伏特、頻率 60Hz 的交流電源,請分析以下計算過程是否正確,並說 明理由。若不正確請計算出正確答案。(4 分) 計算過程:其中 V 為電阻兩端電位差、R 為電阻大小。 因此代表此電器消耗功率為 110 瓦。
(2)若將一般 110V 交流電插座兩端接到示波器,可看到示波器上顯示出振幅為 Vp 的正弦函數,證明 伏特。(4 分)