所屬科目:高等工程力學(包括材料力學)
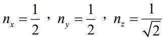
一、已知物體承受載重時之內部某點的應力分量為 = 0 , = 800 ,若有法線方向餘弦為 的平面通過該點,請計算作用在此平面上之總 合力(總力)、正向力與剪力。(25 分)
二、對梁進行載重試驗時,為獲得梁表面某一位置的應變分量 , 將電阻式應變片(strain gage)分別貼在該點位置的 x 方向(假設方向為 0 度)、與 x 成60°方向和120°方向上。若各應變片所量測得到的應變值 分別以 。(25 分)
三、有一 z 方向長度 l 的矩形截面懸臂梁,上端固定如圖所示,矩形懸臂梁 由等向性材料組成,且梁的楊氏彈性模數= E、柏松比= v、密度= ρ 。 若無其它載重作用,請計算矩形懸臂梁因自重在 x、y、z 方向產生的位 移 。(25 分)
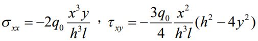
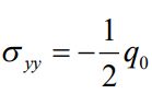
四、矩形截面懸臂梁,跨度 l,斷面寬度 1,高度 h,有三角形均佈載重q 0 作 用如圖所示。在不考慮自重下,由材料力學計算的應力分量為: 假設斷面之剪應力為線性分布,請問=?(25 分) 【提示:斷面之剪應力為線性分布,在固定端(l, 0)的 】