所屬科目:教甄◆數學專業
1. 已知a,b,c,d為正數,且滿足a+3b=1 以及3c+d=1 ,則的最小值為__________。
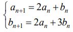
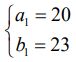
2. 已知兩數列定義如下:且,則=_________ 。
3. 不等式|x|+|y|+|x-y|≤10 的解集合,在坐標平面上對應的區域面積為____________。
4. 教室裡有左右兩塊黑板,在左邊黑板上寫下數字 100 並進行以下操作:(1) 每次把左邊黑板上一個大於 1 的正整數k擦掉,並換成兩個較小的正整數a 、b,使得a+b=k。(2) 把乘積a✕b寫在右邊黑板上。重複這樣的操作,直到左邊黑板上的數字全都是 1 則停止操作。此時,左邊黑板上共有x個數字 1,右邊黑板的數字總和最大值為y ,則數對(x,y)為___________。
5. 甲乙兩人猜拳。假設每次甲猜贏的機率為 、猜輸的機率為 、平手的機率為。 若規定每回合必須猜到有人猜贏為止,先連續贏兩回合者獲勝,則甲獲勝的機率為___________。
6. 若四邊形 ABCD 中, , 則四邊形 ABCD 的內切圓面積最大值為________________。
7. 空間中有兩條歪斜線 L 與 S,直線 L 上有三點 A、B、C,且 。直線 S 上有三點 D、E、F,其中皆垂直 L。已知,則歪斜線 L、S 的距離為_______________。
8. 如下圖,ABCD 為正方形,直線 BF 平行直線 AC,E 在 BF 上使得 AEFC 為菱形。若 G 為菱形對角線交點,則tan∠CBG=________________。
9. 已知 H 為△ABC 的垂心。若,則cos A =__________ 。
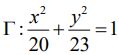
10. 已知 F 為橢圓在下半平面的焦點,C 為Γ的最大內切圓。在橢圓Γ上取一點 P, 且 P 在上半平面,過 P 點對圓 C 作切線,令切點為 Q,則=_________。
11. 一個由多項式函數y=f(x)與函數y=mx+n、 x = 0、 x=a(0≤ a ≤k) 所圍出的封閉區域,其面積函數為A(a)=- a3+7a2+5a,如下圖。已知P(0,17), Q分別為x = 0與 、y=mx+n的交點;R (k,22)為y=f(x)與y=mx+n的交點,則多項式f(x)=_______________。
(1) 若∠B=60°,請證明:。(7 分)
(2) 若,請證明:∠B=60°。(7 分)