所屬科目:教甄◆物理科專業
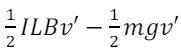
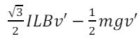
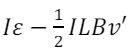
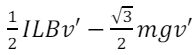
(2)當導體棒由靜止到速率為v’沿著導軌往斜上運動瞬間,流過導線棒的電流的大小 I,單位時間內導體棒動能 增加量為 K、電阻消耗功率為 P。設重力加速度為 g,則 K+P=______ (單選) (AB)(AC)(AD) (AE)(BC) (BD)(BE)(CD)(CE) Iε
1. 當兩個頻率相差極近的聲波發出聲音時,可想像為兩單頻波疊加的效果,並可發現聲音會以一包一包的形式合 成拍頻(beat frequency)的結構,因而會聽到有嗡嗡聲音,而拍頻為原先兩個聲波的頻率之差的絕對值。如圖所示 ,有一靜止觀察者測量在直線道路上運動的聲源 A 與位於觀察者附近靜止的聲源 B。其中聲源 A、B 頻率相同,從聲源 A 看觀測者的方向和聲源 A 的速度方向的角度為θ(0°<θ<180°)。觀測者同時測量兩個音源發出的聲音, 結果測得嗡嗡聲。下列何者最合適表示觀察者測到的拍頻 N 隨θ的變化關係,從以下(甲)~(己)中選擇一個。
2. 兩鋁梯以鉸鏈連接在 A 點並且置於光滑水平地面,距地面高度處有一細繩連接兩梯,使兩梯間恰成60 ∘而平 衡,如圖所示。設兩梯等長但重量不等,左梯重 W,右梯重 3W,則細繩張力大小為______ 。
5. 一長為 L 之均勻鐵尺,一端固定於牆上,不計一切阻力,作小角度擺盪之週期為 T,則該地之重力加速 度 g=______ 。
6. 如圖所示為一質量為 M 之均勻圓盤,其半徑為 R,設置在一固定水平軸上。一質量 m 的木塊經由一不計質量的細繩繞過圓盤的邊緣懸掛著。假設木塊會下落、細繩不會滑脫且在軸上無摩擦力,重力加速度為 g, 求木塊下落的加速度量值為_________ 。
7. 如圖所示,物體 A、B 以一輕彈簧連接,置於光滑水平面上,彈簧處於原長,物體 C 以水平速度 v撞向物體 B ,碰撞時間極短,碰後 C 與 B 黏在一起,已知 B、C 質量均為 m,不計一切阻力。若當彈簧彈性位能最大時,A 的速率為 v1 ,運動過程中,A 的最大速率為 v2,則v1:v2 =_________ 。
8. 下圖為一圓錐形的容器,高為 h,底面半徑為 R。裝入高度 h/2,質量密度為 d 之液體,重力加速度為 g,則液 體作用在容器內的傾斜側壁的總力為_______ 。
10. 有一半圓柱型的透明物體其折射率為 2,半徑為 R,放置於空氣中,空氣的折射率為 1。光垂直於直徑距圓心 d 處入射,若光線能在圓弧面經兩次全反射後再次從直徑折射而出,求 d 的範圍為何?______ 。
12.質量為 m 的物體與質量為 M 的物體作斜向彈性碰撞,(M>m),碰撞後 m 以與原速度方向成 90°散開,M 的運 動方向與原來 m 的入射方向夾角為φ,如圖所示,則 tanφ=_______ (以 m 和 M 表示)
13.如圖所示,將兩塊平板玻璃 A 和 B 放置在空氣中,將一顆微粒夾在中間。設平板玻璃 A、B 的接觸點 P 與微 粒之間的距離為 L。入射到玻璃表面的某一波長 λ 的單色光從上方垂直入射到玻璃表面,從上方觀察時,可以觀 察到等間隔出現的明暗條紋圖案。這種現象被認為是由於從平板玻璃 A 的底面反射的光與從平板玻璃 B 的頂面 反射的光之間的干涉造成的。若不計光在玻璃層的光程差,介於兩平板玻璃間,在某個亮紋位置的空氣層厚度 與其相鄰下一個亮紋位置的空氣層厚度差為_________ (以 λ 表示)。
15.OC 為一絕緣桿,C 端固定一金屬細桿 MN。已知 MC=CN,MN=OC=R,∠MCO= 60°,此结構整體繞 O 點在纸面上以順時針方向固定角速度ω轉動,空間有均勻磁場大小 B 垂直於進纸面。求 M、N 兩點間的電動勢差為_________ 。
17.如圖所示,圓形區域內有垂直紙面向內的均勻磁場,質量為 m、荷電量為 q(q>0)的帶電粒子從圓周上的 M 點沿 直徑 MON 方向射入磁場。若粒子射入磁場時的速度大小為v1,離開磁場時速度方向偏轉 90˚;若射入磁場時的 速度大小為v2,則離開磁場時速度方向偏轉 60˚,不計重力,則v1:v2 =________
。
18.如圖中,每個電阻器都相同,已知電路兩端點施加電動勢為 10 伏特,電功率為 70 瓦特。則此時 XY 兩點間( 導線電阻略而不計)的電流為_____安培。
19.康普吞散射的理論討論光子與電子碰撞已知λ′ − λ = (1 − cosθ),式中λ'及λ分別為散射光及入射光之波 長,θ為光子散射角。設有一單色光,其波長為λ = ,與自由且靜止的電子作彈性碰撞,若碰撞後電子具有 的最大動量,則動量量值為_______ 。其中m為電子質量,c為光速,而ℎ為蒲朗克常數。
20.一個被侷限在長、寬皆為 L 的二維無限位能井內的電子。第三激發態和基態的能量差為______ (以電子的質量 m、 普朗克常數 h 和 L 表示)
1. 如圖所示,在一光滑水平地面上,有一質量為 4M 的車子上裝有一根質量可忽略的桿子,桿子的頂點 P 繫有一長度為 L 的輕繩,繩子的另一端繫住質量為 m 的小球。起初車子和小球以 v 等速向右運動時,繩子恰與地面互 相垂直。若該車撞到另一輛質量為 M 的原本靜止的車,並且和它黏在一起。在此情況下,能讓小球恰好繞 P 點 作一半徑為 L 的鉛垂面圓周運動的最小初速率 v 為________ (已知 M >>m、重力加速度為 g、所有摩擦力可忽略不計) (7 分)
2. 一彈力常數為 k 、質量為 ? 的彈簧和一質量為m、半徑為 ? 圓柱的質心相連結且水平放置在桌面上。若桌面 與圓柱兩者間有摩擦,使得圓柱以純滾動方式運動,則此彈簧-圓柱系統的振盪週期為何?(請詳列積分過程才計 分) (7 分)
5. 如圖所示,在光滑的水平桌面上,置有一長度為 ℓ,且質量可忽略的細桿,其兩端各固定有一質量皆為 m 的質點,另一質量亦為 m 的質點沿垂直於細桿的方向入射,以速度v 撞擊一端的質點。若該入射的質點和被撞擊的 質點,在碰撞後合而為一,則當碰撞後的瞬間,細桿中點的速度為何?(以上的速度皆指相對於桌面而言)(7 分)