所屬科目:教甄◆數學
1. a∈{−3,−2,−1,1,2,3},已知 a 為實係數三次多項式 f(x) 的領導係數,若函數 y=f(x) 的圖形與 x 軸交於三點,且其 x 坐標成首項為3、公差為 a 的等差數列。試問共有幾個 a 使得 f(0)<0? (A)0 (B)1 (C)2 (D)3 (E)4
2. 試求滿足sin18°+ sin x°= cos12° 的最小正數x之值為? (A)12 (B)22 (C)32 (D)42 (E)52
3. 已知f(x)為三次函數,下列何者正確 (A) 若f"(3) 0 =,則 x=3處為反曲點。 (B) 若f(x) 在x=3處為反曲點,則二次函數f'(x) 在x=3處有最大值。 (C) 若f'(1)=f '(5),則3 x=處為反曲點。 (D) 若方程式f'(x) =0有兩相異實根,則方程式f(x)=0有三相異實根。 (E) 若方程式f'(x) =0有兩相等實根,則方程式f(x) =有重根。
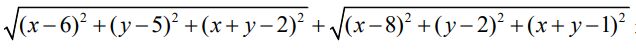
4. 空間坐標中,有一直線,與一平面E: x-y-z=12,已知平面 E上有一點 P 滿足( P, L) =3√10, 下列哪些選項可能是 P 坐標? (A) (12,0,0) (B) (4, -4, -4) (C) (0, -9, -3) (D) (0, -3, -9) (E) (8,1, -5)
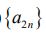
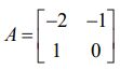
5. 方陣,若數列滿足,n∈N,下列何者正確? (A)(A2+A)有反方陣 (B)是等比數列 (C)是等差數列 (D)是等比數列 (E)是等差數列
二、非選題:
1. 我們定義「費氏數」:利用費氏數列的原理,先寫出兩個正二位數,然後從第三個數字開始,每位數都是前兩個數相加,直到不能寫為止。比如: 12→ 123→1235 →12358,5+8=13無法寫在一個位數了,所以12358就是一個費氏數。而58,19就不是費氏數。請位總共有__________個「費氏數」。
2. 正六邊形 ABCDEF 被圍在以平行x軸與y軸為邊的矩形PQRS內,其中A(0,0), B(4,2) 且矩形PQRS四邊各交此正六邊形於一點,求此矩形PQRS的面積為____________。
3. △ABC 中,已知∠A=60°,D在上且滿足。若△ABD 的外接圓直徑2,則的最大值為__________。
4. 已知多項式 f(x) 滿足,試求的值為____________。
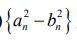
5. 數列滿足,則 =____________。
6. a∈R,當a≤ x ≤a +1時,函數f(x)=|x2−3x−4|+x+1的最大值為 M(a),則 M(a) 的最小值為____________。
7. x,y為實數,則最小值為____________。
8. a,b∈Z,已知整係數多項函數f(x) 滿足f(2√3)+,且f( x+2) 除以 (x2- 3) 的餘式為( bx+5) ,則數對(a ,b ) =____________。
9. 某店家辦理摸獎活動共有100、200、300、400、500元等五個獎項,花100元就可以摸獎一次。摸彩箱裡頭有5個紅球並分別標示獎項的金額、以及15個白球,一次取一球取後不放回,每一個球被取到的機會均等。小南想要一直玩到抽中所有獎項為止,則獲利的期望值為____________。
10. 設 x∈R,f(x)=,將函數的最小值用科學記號表示為,其中1≤a≤ 10 且 n 為整數。若 a 的整數部分為 m ,則數對( m,n ) =____________。
1. 在課堂上講述『貝氏定理』觀念時,試設計一個講解範例以幫助學生理解。
2. 請選一個高中一年級數學單元,設計一個跨領域整合的教案,教案內容包含
(1)此數學單元與哪個領域結合
(2)教學目的
(3)上課內容與時間分配
(4)期望學生能達到的目標。能以表格方式呈現尤佳。
(1)請設計一個空間概念或空間向量的素養題。
(2)請說明這樣設計的特色。
(3)請說明您設計的這個題目想檢測哪些概念?
(4)預想這樣設計,學生答題可能常見的錯誤類型有哪些。