所屬科目:高中(學測,指考)◆數學
1. 對任意實數 x 而言,的最小值為 (A) 3 (B)(C) 9 (D) 27 (E)
2. 在職棒比賽中 ERA 值是了解一個投手表現的重要統計數值。其計算方式如下:若此投手共主投 n 局,其總責任失分為 E,則其 ERA 值為。有一位投手在之前的比賽中共主投了 90 局,且這 90 局中他的 ERA 值為 3.2。在最新的一場比賽中此投手主投 6 局無責任失分,則打完這一場比賽後,此投手的 ERA 值成為(A)2.9(B)3.0 (C) 3.1 (D) 3.2 (E) 3.3
7. 某高中共有 20 個班級,每班各有 40 位學生,其中男生 25 人,女生 15 人。若從全校 800 人中 以簡單隨機抽樣抽出 80 人,試問下列哪些選項是正確的? (A) 每班至少會有一人被抽中 (B) 抽出來的男生人數一定比女生人數多 (C) 已知小文是男生,小美是女生,則小文被抽中的機率大於小美被抽中的機率 (D) 若學生甲和學生乙在同一班,學生丙在另外一班,則甲、乙兩人同時被抽中的機率跟甲、 丙兩人同時被抽中的機率一樣 (E) 學生 A 和學生 B 是兄弟,他們同時被抽中的機率小於
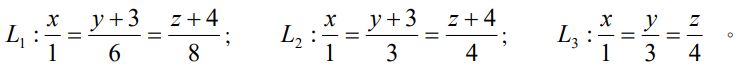
11. 設坐標空間中三條直線L1 , L2 , L3, 的方程式分別為 試問下列哪些選項是正確的? (A) L1與 L2 相交 (B) L2 與 L3 平行 (C) 點 P(0,−3,−4)與Q(0,0,0) 的距離即為點 P 到 L3 的最短距離 (D) 直線與直線 L1 , L2 皆垂直 (E) 三直線 L1, L2, L3共平面
A. 令 A( −1,6,0) ,B (3, −1,−2) ,C(4,4,5)為坐標空間中三點。若 D 為空間中的一點且滿足,則點 D 的坐標為(__⑬⑭__, __⑮⑯__ ,__⑰⑱__ )。
B. 在坐標平面上,設 A為直線3x-y=0 上一點, B 為 x 軸上一點。若線段的中點坐標為,則點 A的坐標為,點 B 的坐標為。
C. 坐標平面上,以原點 O 為圓心的圓上有三個相異點 A(1,0), B ,C ,且。已知銳角三角 形OAB 的面積為,則 ∆OAC 的面積為(化為最簡分數)
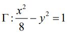
D. 設 F1與 F2 為坐標平面上雙曲線的兩個焦點,且 P (−4, 1)為Γ上一點。若∠F1PF2 的 角平分線與 x 軸交於點 D, 則 D 的 x 坐標為。
E. 設O(0,0,0) 為坐標空間中某長方體的一個頂點,且知(2,2,1),(2,−1,−2),(3,−6,6)為此長方體中與O相鄰的三頂點。若平面 E : x+by+cz=d將此長方體截成兩部分,其中包含頂點O的那一部分是個正立方體,則(b,c,d ) = 。
F. 設 a b, 為正整數。若 b2= 9a ,且 a+2b>280 , 則 a 的最小可能值為。
G. 坐標平面上有一質點沿方向前進。現欲在此平面上置一直線L,使得此質點碰到L時依光學原理(入射角等於反射角)反射,之後沿方向前進,則直線L的方向向量應為。
H. 已知坐標平面上圓O1: (x-7) (y-1)2=144與O2:(x+2)2+ (y-13)2= 9相切,且此兩圓均與直線 L: x = −5相切。若Γ 為以 L 為準線的拋物線,且同時通過O1與O2的圓心,則Γ 的焦點坐標為。(化為最簡分數)