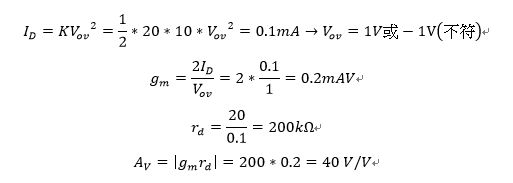
3 將一個 n-通道增強型 MOSFET 操作在飽和區,源極接地,以理想電流源注入 100 μA 的汲極電流。
此電晶體 μnCox = 20 μA/V2
,W/L =10,Vt =0.5 V。若電晶體的爾利電壓(Early voltage)VA= 20 V,
問小信號增益大小的絕對值為多少?
(A) 20
(B) 40
(C) 100
(D) 200
答案:登入後查看
統計: A(32), B(179), C(35), D(26), E(0) #2017710
統計: A(32), B(179), C(35), D(26), E(0) #2017710
