阿摩線上測驗
登入
首頁
>
教甄◆數學
>
104年 - 國立科學工業園區實驗高級中學國小部教師甄試 數學#21307
> 試題詳解
試題詳解
試卷:
104年 - 國立科學工業園區實驗高級中學國小部教師甄試 數學#21307 |
科目:
教甄◆數學
試卷資訊
試卷名稱:
104年 - 國立科學工業園區實驗高級中學國小部教師甄試 數學#21307
年份:
104年
科目:
教甄◆數學
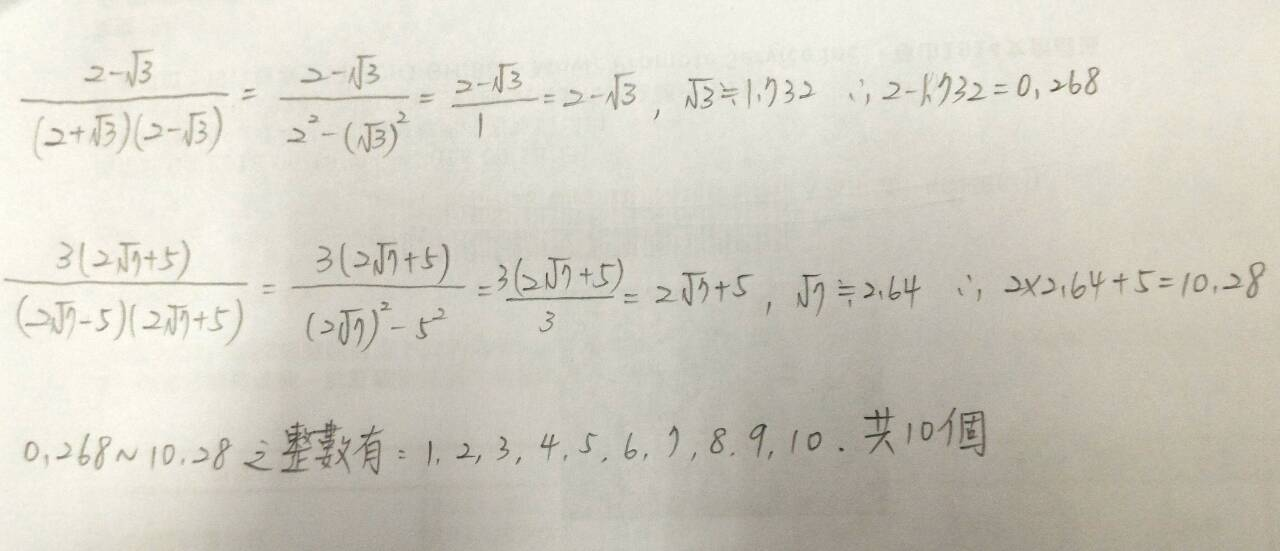
3.試問在
之間的整數共有多少個呢?
(A)8
(B)9
(C)10
(D)11
正確答案:
登入後查看