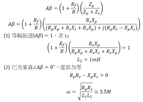
33 如圖所示為以電阻 R=5 kΩ、Rf =7.5 kΩ 及電感 L1 =2 mH、L2 所構成的韋恩電橋(Wien-bridge)振盪 電路,當等幅振盪啟動時,決定其振盪頻率 ω 約為多少 rad/s?
(A) 3.5M rad/s
(B) 1M rad/s
(C) 700k rad/s
(D) 500k rad/s
答案:登入後查看
統計: A(55), B(46), C(29), D(20), E(0) #2592592
統計: A(55), B(46), C(29), D(20), E(0) #2592592
詳解 (共 3 筆)
#5286740
韋恩振盪器一般接電容的,這題接電感只好從傳輸函數開始推導

2
0
#5295478
韋恩電橋
Rf (R//jωL₁) = R(R+ jωL₂)
7.5k(5k)(jω2m)/(5k+ jω2m) = 5k(5k+ jωL₂)
7.5k(ω² 20m+jω50k)/25M+ (ω2m)² = 25M+ jωL₂5k
實數部分:150ω² = (25M)² + (10ω)²
ω ≒ 3.54M
1
0