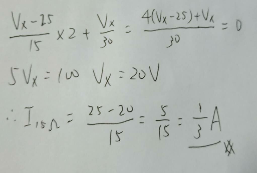
9 如圖所示之對稱型電路,此時流經任一個 15 歐姆(Ω)電阻的電流為何?
(A) 1/3 安培
(B) 2/3 安培
(C) 1 安培
(D) 1.5 安培
答案:登入後查看
統計: A(289), B(29), C(61), D(19), E(0) #3190267
統計: A(289), B(29), C(61), D(19), E(0) #3190267
