題組內容
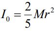
三、如圖3所示,球半徑 r 為30 mm,質量 M 為0.2 kg,假設球與桌面之靜與 動摩擦係數μ均為0.03,球桿中心離桌面高度為 h,依水平方向往右撞擊球,球心軸之慣性矩
,重力加速度 G = 9807 mm/s2,試求解下列問題:
三、如圖3所示,球半徑 r 為30 mm,質量 M 為0.2 kg,假設球與桌面之靜與 動摩擦係數μ均為0.03,球桿中心離桌面高度為 h,依水平方向往右撞擊球,球心軸之慣性矩
,重力加速度 G = 9807 mm/s2,試求解下列問題: