阿摩線上測驗 登入

申論題資訊

試卷:109年 - 109 專技高考_電子工程技師:通訊系統#93317
科目:通訊系統
年份:109年
排序:0

題組內容

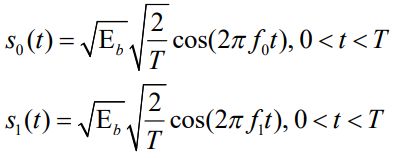
三、考慮一個二元調變(binary modulation)機制,在其中資料位元(data bit) 0 與 1 分別以如下所示的 s0(t)與 s1(t)訊號來對應:
5fbdc3df3e1e9.jpg 
其中 T 為位元時長(bit duration)。在此假設訊號的傳輸通道為加成式高 斯白雜訊(AWGN)通道,其中雜訊的雙邊功率頻譜密度(two-sided power spectral density)為5fbdc3fed6af6.jpg(換言之,單邊功率頻譜密度(single-sided power spectral density)為 N0)。

申論題內容

(一)此調變機制屬於下列選項其中的那一個:
(A)BPSK(binary phase shift keying),
(B)BFSK(binary frequency shift keying),
(C)BASK(binary amplitude shift keying)?(3 分)