阿摩線上測驗
登入
首頁
>
通訊系統
>
109年 - 109 專技高考_電子工程技師:通訊系統#93317
> 申論題
題組內容
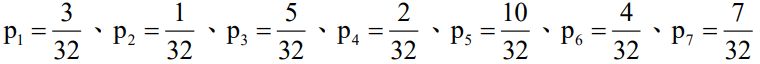
五、有一個資訊源(information source),它會傳送出去的訊符(symbol),包括有
, k =1, 2,…, 7 等 7 種,而且傳送
的機率為
。假設
的數值如下所示:
。
(二)請以霍夫曼編碼(Huffman coding)來對此資訊源作編碼,使其平均碼長(average code-length)盡量小。(7 分)
相關申論題
(一)請問 x(t)、w(t)、y(t)三者之間的關係為何?請以數學式子明確寫出。 (3 分)
#384900
(二)請問 w(t)是否為廣義穩態(wide-sense stationary, WSS)的隨機程序 (random process)?同時請描述所謂的廣義穩態指的是什麼。(4 分)
#384901
(三)在 t=0 的時候,w(t)的平均值(mean)為何?(3 分)
#384902
(四)請寫出 w(t)的自相關函數(auto-correlation function)的形式。(3 分)
#384903
(五)請寫出 w(t)的功率頻譜密度(power spectral density)函數的形式。 (3 分)
#384904
(一)上面五個訊號,對應到如下所示的五個調變: (A)單旁帶/載波抑制調幅(Single-Sideband/Suppressed Carrier AM), (B)雙旁帶/載波抑制調幅(Double-Sideband/Suppressed Carrier AM), (C)雙旁帶/完全載波調幅(Double-Sideband/Full Carrier AM), (D)調頻(frequency modulation), (E)調相(phase modulation)。 請指出它們是如何作對應(五個對應全部答對才有得分)。(4 分)
#384905
(二)五種調變中,那一個所需使用的頻寬(bandwidth)最小?(3 分)
#384906
(三)五種調變中,那一個的解調(demodulation)電路最簡單?它所付出的 代價為何?(4 分)
#384907
(四)如果x(t)=cos(ω0t),那麼=?(3 分)
#384908
(五)如果x(t)=sin(ω0t),那麼=?(3 分)
#384909
相關試卷
114年 - 114 專技高考_電子工程技師:通訊系統#133705
114年 · #133705
114年 - 114 國家安全情報特種考試_三等_電子組(選試英文):通訊系統#127789
114年 · #127789
113年 - 113 專技高考_電子工程技師:通訊系統#123975
113年 · #123975
112年 - 112 專技高考_電子工程技師:通訊系統#117684
112年 · #117684
112年 - 112 國家安全情報特種考試_三等_電子組(選試英文):通訊系統#114831
112年 · #114831
111年 - 111 專技高考_電子工程技師:通訊系統#111978
111年 · #111978
111年 - 111 警察特種考試_三等_交通警察人員電訊組:通訊系統#108624
111年 · #108624
111年 - 111 國家安全情報特種考試_三等_電子組(選試英文):通訊系統#108610
111年 · #108610
110年 - 110 專技高考_電子工程技師:通訊系統#104217
110年 · #104217
110年 - 110 警察特種考試_三等_交通警察人員電訊組:通訊系統#101674
110年 · #101674