阿摩線上測驗 登入

申論題資訊

試卷:111年 - 111 關務特種考試_三等_關稅統計:抽樣方法#107616
科目:抽樣方法
年份:111年
排序:0

題組內容

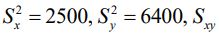
二、欲估計 2021 年某鄉鎮的總農民所得(Y),由 300 家農戶抽樣調查 30 家 農戶,定義 x 為普查年(2016 年)所得,y 為 2021 年所得。母體資料 x 與 y 之變異數6268f2cd6bf52.jpg、共變數6268f2db31a99.jpg及 y 對 x 之比率(R)如下所示:

6268f2fd8bd90.jpg= 3600, R = 1.3 。 

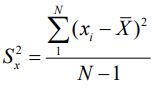
 (母體變異數 S2 係以 N - 1為分母,例如, 6268f322b43f6.jpg ,式中 6268f3326ba6b.jpg 為母體均數。)

申論題內容

(一)計算迴歸估計量、比率估計量及均數估計量的變異數。