阿摩線上測驗
登入
首頁
>
應用數學(包括微積分、微分方程與向量分析)
>
110年 - 110 高等考試_三級_氣象:應用數學(包括微積分、微分方程與向量分析)#102743
> 申論題
題組內容
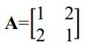
四、矩陣
(二)將 A 對角線化(diagonalization)。
相關申論題
一、建築工程在考量施工進度與明亮外觀等因素下,帷幕牆(Curtain Wall) 使用率愈來愈高,常見於高層建築之採用,試以流程圖繪製帷幕牆施工 步驟並請詳述其施工步驟工作內容。(25 分)
#433337
二、在開工前置作業中,請詳述承包商針對工地現場研判應做那些內容分 析?(25 分)
#433338
三、政府各部門在推動公共工程計畫時,需達到準確估算工程經費之目標。 試以分工結構圖(Work Breakdown Structure, WBS)詳述建造成本(工程 經費)應包含那些項目。(25 分)
#433339
四、在建築防水工程中,請詳述屋頂防水常見之瑕疵與表面塗佈之缺失。 (25 分)
#433340
(一)乙之違章建築遭拆除後,不服甲市主管機關收取拆除費用過高,遂提 起行政爭訟,主張「甲市違章建築管理自治條例」涉及人民之權利義 務,但其並非立法院三讀通過之法律,有違憲法第 23 條的法律保留原 則。其主張有無理由?(15 分)
#433341
(二)甲市違章建築管理自治條例相關案件提起行政爭訟時,若承審法官認 為罰則已違反比例原則,此時承審法官是否仍應於個案審理時援引為 審判之依據?(10 分)
#433342
(一)A國立大學位於風光明媚的河岸邊,校園環境優良,附近居民喜愛帶 飼養犬隻前往散步。為維護校園安全,遂訂立「A國立大學犬隻管理 規則」 ,規定「除導盲犬與工作犬外,民眾攜帶犬隻,應依規定繫狗鍊 或做好防護措施,否則不得進入校園。已進入校園者,得予驅離,並 禁止一定期間內不得入校」 。居民某丙某日帶自家犬隻前往,因犬隻便 溺需求,遂解除狗鍊,經校警發現後,通報大學管理單位。A 大學遂 以 C 函通知丙,於文到三個月內禁止其攜帶犬隻進入校園。丙不服 C 函,欲提起救濟。(12 分)
#433343
(二)B國立大學校地廣大,為維護校園通行秩序與安全,遂訂立「B國立 大學車輛管理辦法」 ,規定車輛通行、停放、違規處理等管理規則。某 丁為該校大學部學生,多次違反停車規定,經學校開立車輛違規事件 通知單,並依規定繳納違規處理費。某丁不服通知單,欲提起救濟。 (13 分)
#433344
(一)季節を感じとりに外に出て自然に触れてみましょう。例えば、桃や 桜の花など、そしてそこにやってくる鳥や虫、その上に広がる雲、 その季節だからこそ見られる光景があるはずです。普段の生活で は、旬の食材を食卓に取り入れたり、季節に合わせて部屋の一部を 模様替えするというのもいい方法です。季節感を取り込むことによ り、生活にメリハリが出て心にゆとりも生まれます。生活にお花を 取り込みましょう。テーブルの上に季節の花を少し飾るだけで、部 屋に季節の雰囲気が出て明るくなります。花屋で買うのもいいです が、道端の野草、野花を少し摘んで、一輪挿しやガラスコップにい けるだけでも心を豊かにしてくれます。お花を飾ったあとは、毎日 心をこめて世話をし、最後は感謝を伝えて紙に包んで処分します。 (25 分)
#433345
(二)「貯金したいなら、通帳を3つ以上に分けるといい」これは「目的 を明確にする」という方法です。例えば、マーホーム貯金、旅行貯 金など、 「〇〇したい」という目標をしっかりと掲げ、通帳を分ける ことで、そのお金に手を出すのを食い止めることができます。さら に「小分けにする」と管理しやすく、収支が曖昧になりません。目 標は、漠然と願っているだけでは、なかなか達成しません。人間の 意志は弱いもの。言い訳して怠けてしまう気持ちに歯止めをかける テクニックです。 (15 分)
#433346
相關試卷
114年 - 114 公務升官等考試_薦任_天文:應用數學(包括微積分、微分方程、向量分析)#133249
114年 · #133249
114年 - 114 高等考試_三級_天文:應用數學(包括微積分、微分方程與向量分析)#128455
114年 · #128455
113年 - 113 高等考試_三級_天文:應用數學(包括微積分、微分方程與向量分析)#121525
113年 · #121525
112年 - 112 高等考試_三級_天文、氣象:應用數學(包括微積分、微分方程與向量分析)#115744
112年 · #115744
111年 - 111 高等考試_二級_氣象:應用數學(包括微積分、微分方程、初步複變函數與向量分析)#111014
111年 · #111014
111年 - 111 高等考試_三級_天文、氣象:應用數學(包括微積分、微分方程與向量分析)#109450
111年 · #109450
110年 - 110 高等考試_三級_氣象:應用數學(包括微積分、微分方程與向量分析)#102743
110年 · #102743
109年 - 109 高等考試_三級_氣象:應用數學(包括微積分、微分方程與向量分析)#88983
109年 · #88983
108年 - 108 地方政府特種考試_三等_天文:應用數學(包括微積分、微分方程與向量分析)#81251
108年 · #81251
108年 - 108 公務升官等考試_薦任_天文:應用數學(包括微積分、微分方程、向量分析)#80516
108年 · #80516