題組內容

4.如下【圖 13】所示電路,當 t = 0 時,開關 S 閉合,試問:(共 10 分)

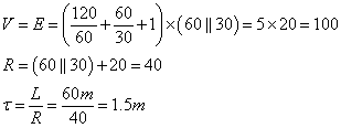
(1)充電時間常數 τ 為何?(2 分)

詳解 (共 10 筆)

真咸
真咸
詳解 #1710356
2015/07/28
phpDYf6tB
謝宗桓
謝宗桓
詳解 #1724839
2015/12/08
R=60||30+20=40歐姆 τ =L/R=60m/40=1.5ms
桃園機場已上榜 待中油
桃園機場已上榜 待中油
詳解 #3951083
2020/05/12


(共 1 字,隱藏中)
前往觀看
不要放棄
不要放棄
詳解 #3115684
2018/12/15



(共 2 字,隱藏中)
前往觀看
Tammy Liu
Tammy Liu
詳解 #1710243
2015/07/25
60//30=20+20=40R L/R=60m/40R=1.5ms
☆○奕軍●★
☆○奕軍●★
詳解 #1694695
2014/12/26
1.5ms

A:60mh / 60//30+20
spin5566
spin5566
詳解 #1714777
2015/09/15
1.5 ms
weihouang04
weihouang04
詳解 #1712798
2015/09/02
1.5*10^-3 秒
lock820926
lock820926
詳解 #2716441
2018/04/10
1.5ms
方寶
方寶
詳解 #5816934
2023/05/19

私人筆記 (共 4 筆)

【給你考運】勞贖
【給你考運】勞贖
私人筆記 #3510804
2021/08/25
有幫助請幫我按個讚鼓勵;有錯請不吝指教(...

(共 27 字,隱藏中)
前往觀看
Terry Tung
Terry Tung
私人筆記 #5076499
2023/05/02


(共 0 字,隱藏中)
前往觀看
Po-tso Lin
Po-tso Lin
私人筆記 #1746735
2019/10/05
先求Rth Rth = 60 // 3...
(共 77 字,隱藏中)
前往觀看
J
J
私人筆記 #4913949
2023/02/28


(共 0 字,隱藏中)
前往觀看