題組內容
2.試求以下電路之電流值:
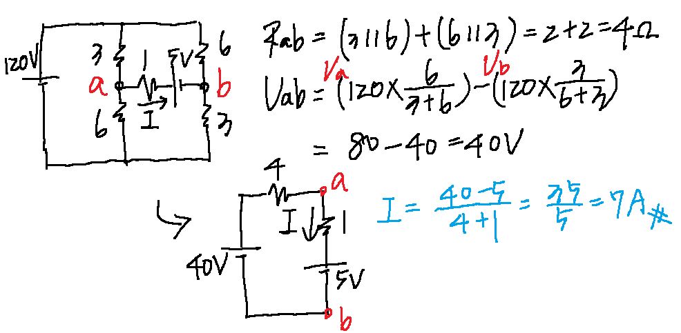
(1)如【圖12】所示,電流I為何?
詳解 (共 2 筆)
詳解
詳解
