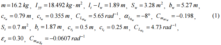
一、某架大型無人飛機(UAV)具有下列物理特性及氣動力特性:

上列的符號意義為:

機翼及水平尾翼的升力(L
w, L
t)、阻力(D
w, D
t)及力矩(Mw, Mt)對飛機質心可以簡化成圖
一所示:

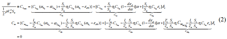
假設飛機在穩態飛行(steady flight)並忽略阻力對飛機俯仰(pitch)力矩的影響及
飛機飛行攻角很小,飛機的配平升力係數( C
Ltrim )及相對質心的力矩係數(C
m )可以表示為:

上列式(2)中新增的符號意義為:
為簡化飛機的設計,選擇在海平面( ρ =1.225 kg / m
3 )以速率 8.58 m/sec.水平飛行,
機翼及水平尾翼相對機身參考線的裝置角的設計,可使得飛機的攻角及升降舵的角
度皆為零,同時,只有機翼提供升力而水平尾翼並不提供升力。假設水平尾翼的效
率為 1.0 以及在水平尾翼位置的下洗流角度( ε
d )為:

上列式(3)中 CLW為機翼升力係數, ARw為機翼的展弦比(aspect ratio)。運用式(2)、
式(3)及式(1)提供的數值計算下列各項: