阿摩線上測驗
登入
首頁
>
流體力學
>
97年 - 97-2 專技高考_水利工程技師:流體力學#32667
> 申論題
題組內容
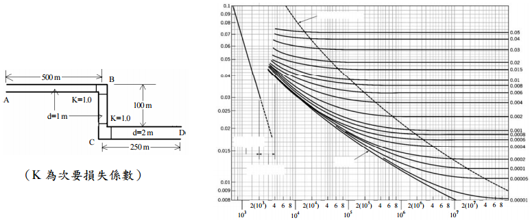
二、如下左圖,管子都處於同一平面(不用考慮重力),管子中以穩態流動的水自 A 點 流到 D 點損失 2 m 的水頭,若管子斷面為正方形(圖中 d 為邊長),表面粗糙度為1 mm。(25 分)
⑵請畫出管線的能量線(Energy Line)與水力坡度線(Hydraulic Grade Line)。
相關申論題
⑴求管中流速和摩擦係數(有需要請查如下右圖,其中縱、橫座標名稱及曲線代表 意義,須自行判斷)。
#77461
⑴計算建築物的受力(空氣密度為水的 10-3,空氣重遠小於壓力效應)。
#77463
⑵這計算在什麼情況下不成立。
#77464
⑴證明若車與底板間沒有摩擦力,車子會一直加速,沒有穩態(steady state)存在?
#77465
⑵若車與底板間摩擦力為 250 N(牛頓),達穩態的車速為多少?
#77466
五、有一定量流之速度分布為 u = 3ax, v= 4ay, w = -7az ,試求通過點(1, 1, 1)之 流線方程式。(20 分)
#570119
四、已知某二維流場()之速度分布如下,求其速度勢能函數Φ及流函 數φ。(20 分)
#570118
三、有一液體(比重 = 0.85)流經一細腰管計(文氏計),如圖二所示,圖中點 (1)、(2)保持一水平線。若流率介於 0.001 cms 到 0.050 cms 之間,試求出此 範圍間的流率可能形成之壓力差範圍值為若干 kPa?(20 分)
#570117
二、兩平面相距 20 mm , 其中充滿某種液體 , 已 知 該 液 體 之 黏 滯 度μ= 16.8✖ 10-3 kg/m●s 。 今欲使平面中間有一大小為 0.75 m 2 之 平 板 以 0.2 m/s 的速度前進,假設該板與兩平面等距,試求須力若干牛頓(N)? (20 分)
#570116
一、有一氣體流(密度= 1.26 kg/m 3 )由貯氣筒通過直徑 D 0.03 m 的管路排放 至大氣中,管路前端銜接直徑 d 0.01 m 的噴嘴,如圖一所示,圖中點(1)、 (2)、(3)保持一水平線。在貯氣筒內的錶(gage)壓力保持在 3.0 kPa ,而大 氣狀態為常溫與常壓。試求在管路中的流量(單位採 cms)與壓力(單位 採 Pa)。(20 分)
#570115
相關試卷
115年 - 115 身心障礙特種考試_三等_水利工程:流體力學#138962
115年 · #138962
114年 - 114 地方政府公務特種考試_三等_水利工程:流體力學#134777
114年 · #134777
114年 - 114 地方政府公務特種考試_四等_水利工程:流體力學概要#134736
114年 · #134736
114年 - 114 專技高考_水利工程技師:流體力學#133675
114年 · #133675
114年 - 114 公務升官等考試_薦任_水利工程:流體力學#133259
114年 · #133259
114年 - 114 普通考試_水利工程:流體力學概要#128762
114年 · #128762
114年 - 114 高等考試_三級_水利工程:流體力學#128749
114年 · #128749
114年 - 114 身心障礙特種考試_三等_水利工程:流體力學#126638
114年 · #126638
113年 - 113 地方政府公務特種考試_三等_水利工程:流體力學#124528
113年 · #124528
113年 - 113 地方政府公務特種考試_四等_水利工程:流體力學概要#124496
113年 · #124496