阿摩線上測驗
登入
首頁
>
工程力學(含靜力學、動力學與材料力學)
>
108年 - 108 臺灣菸酒股份有限公司_從業職員及從業評價職位人員甄試_從業職員/機械工程:工程力學#74347
> 申論題
題組內容
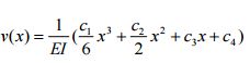
第四題: 對於末端集中負載 P 之懸臂樑(cantilever beam;如【圖四】,其長度為 L,楊氏模數 為 E,慣性矩為 I),假設其形變方程式為
。
⑶請求出尖端最大位移。【5 分】
相關申論題
第一題: 如【圖一】之雲霄飛車總質量(車及乘客)為 250 kg,從 A 點處靜止下滑,軌道及空氣 阻力皆可不計,重力加速度為 9.81 m/s2。試求飛車到達 B 點處前一瞬間之車速、加速度, 以及軌道與飛車間之作用力。【25 分;未列出計算過程者,不予計分】(sin40o =0.643、 cos40o =0.766)
#301953
⑴請將(2a)~(2e)式帶入(1)式,進行指數冪次之比較。【9 分】
#301954
⑵因為未知數 a、b、c、d 有四個,M、L、T 指數冪次的對等條件卻只有三條,故 請用 a 來表示 b、c、d(a 仍是待定未知數)。【6 分】
#301955
⑶請將(二)的 b、c、d(含有 a)表示式結果,帶回(1)式,整理出 F 的相似律 (similarity law)。【5 分】
#301956
(四)上述 F 的相似律應該包括空氣動壓ρv 2,物體表面積 D 2,以及一個無因次參數 (dimensionless parameter)的(-a)次方,請問這個無因次參數為何?【5 分】
#301960
⑴請列出四條邊界條件,以便求解 c1~c4。【12 分】
#301957
⑵請推導出 c1~c4。【8 分】
#301958
四、如圖所示,已知 A、B 兩物塊重量分別為 10 kg 與 50 kg,且滑輪系統的繩長度為固定。試求從靜止釋放後,當 A 物塊速度達到 0.5 m/s 時,B 物塊 之速度與 A 物塊移動之距離各為何?(假設滑輪與支承座之重量可忽略 不計、重力加速度為 10 m/s2)(25 分)
#569853
三、如圖所示,有一直徑為 20 mm,長度 L =1 m 的鋼軸,此鋼軸強度可承受 t 的扭矩,其中 tB 為150 N • m/m ,試求其最大扭轉剪應力與扭轉角。(假設 鋼軸剪切模數 G 為 80 GPa)(25 分)
#569852
二、如圖所示,一有槽連桿於 O 點固定,其連桿以固定的角速度θ=4 rad/s 進行運動,使銷釘 P 沿著螺旋導軌 r = 0.5θ m 移動一距離,試求當θ=π/4 rad 時,銷釘 P 徑向與橫向的速度與加速度?(25 分)
#569851
相關試卷
115年 - 115 關務特種考試_三等_機械工程(選試英文):工程力學(包括靜力學、動力學與材料力學)#138918
115年 · #138918
114年 - 114 專技高考_機械工程技師:工程力學(包括靜力學、動力學與材料力學)#133710
114年 · #133710
114年 - 114 公務升官等考試_薦任_機械工程:工程力學(包括靜力學、動力學與材料力學)#133242
114年 · #133242
114年 - 114 專技高考_專利師(選試專業英文及工程力學)、專利師(選試專業日文及工程力學):工程力學#130105
114年 · #130105
114年 - 114 關務特種考試_三等_機械工程(選試英文):工程力學(包括靜力學、動力學與材料力學)#126623
114年 · #126623
113年 - 113 臺灣菸酒股份有限公司_從業評價職位人員試題_鍋爐:工程力學#132351
113年 · #132351
113年 - 113 專技高考_機械工程技師:工程力學(包括靜力學、動力學與材料力學)#123897
113年 · #123897
113年 - 113 專技高考_造船工程技師:工程力學(包括靜力學、動力學與材料力學)#123895
113年 · #123895
113年 - 113 專技高考_專利師(選試專業英文及工程力學)、專利師(選試專業日文及工程力學):工程力學#122211
113年 · #122211
113年 - 113 關務特種考試_三等_機械工程(選試英文):工程力學(包括靜力學、動力學與材料力學)#119496
113年 · #119496