阿摩線上測驗
登入
首頁
>
工程數學
>
108年 - 108 鐵路特種考試_高員三級_電力工程、電子工程:工程數學#76900
> 申論題
題組內容
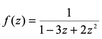
二、令複變函數 ,試求:
⑴ f (z ) 的麥克勞林級數(Maclaurin series)展開式。(7 分)
相關申論題
一、令一行列式為求 x 為何?(10 分)
#311011
⑵第⑴小題之級數的收斂半徑。(3 分) d2y dy (0) ∞
#311013
三、
#311014
⑴ Y 的期望值(expected value):E [Y ]。(5 分)
#311015
⑵ Y 2 的期望值(expected value):E [Y 2]。(5 分)
#311016
⑶ Y 的變異數(variance): σ Y2 。 (5 分)
#311017
三、求取下列矩陣之反矩陣。(15 分)
#320144
二、證明下列波動方程式 之解答可表示為 , 其中(20 分)
#320143
一、求 取 下 列 微 分 方 程 式 之 特 徵 值 ( eigen-value ) λ 及 特 徵 函 數 (eigen-function) 。(15 分) (e − 2 x y ′)′ + (1 + λ )e − 2 x y = 0; y (0) = y (1) = 0 。
#320142
五、令。求 Y=cos(X)之機率密度函數(probability density function)(20 分)
#319752
相關試卷
108年 - 108 國家安全情報特種考試_三等_電子組:工程數學#78621
108年 · #78621
108年 - 108 調查特種考試_三等_電子科學組:工程數學#78542
108年 · #78542
108年 - 108 鐵路特種考試_高員三級_電力工程、電子工程:工程數學#76900
108年 · #76900
99年 - 99 專技高考_電機工程技師:工程數學(包括線性代數、微分方程、複變函數與機率)#46602
99年 · #46602
99年 - 99 專技高考_電子工程技師:工程數學(包括線性代數、微分方程、向量分析、複變函數與機率)#46447
99年 · #46447
98年 - 98 專技高考_電機工程技師:工程數學(包括線性代數、微分方程、複變函數與機率)#48397
98年 · #48397
98年 - 98 專技高考_電子工程技師:工程數學(包括線性代數、微分方程、向量分析、複變函數與機率)#47603
98年 · #47603
96年 - 96 專技高考_電子工程技師:工程數學(包括線性代數、微分方程、向量分析、複變函數與機率)#50596
96年 · #50596
96年 - 96 專技高考_電機工程技師:工程數學(包括線性代數、微分方程、複變函數與機率)#50595
96年 · #50595