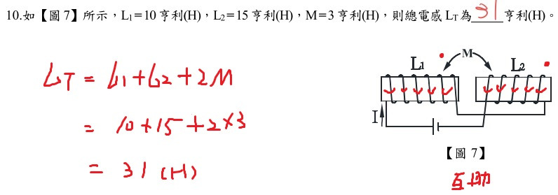
10.如【圖 7】所示,L1 = 10亨利(H),L2 = 15亨利(H),M = 3亨利(H),則總電感
為_____亨利(H)。
詳解 (共 3 筆)
詳解

詳解

詳解
