4.上課時,陸老師大聲喝止鐵雄拿紙團丟同學的行為。鐵雄因此惱羞成怒,大罵老師, 並用書本擲向老師。若依德瑞克斯(R. Dreikurs)班級經營的看法,鐵雄的行為符合 哪一種錯誤信念(錯誤目標)?面對鐵雄錯誤信念(錯誤目標)的行為,陸老師應如何 處理?(至少寫出四項)
詳解 (共 10 筆)
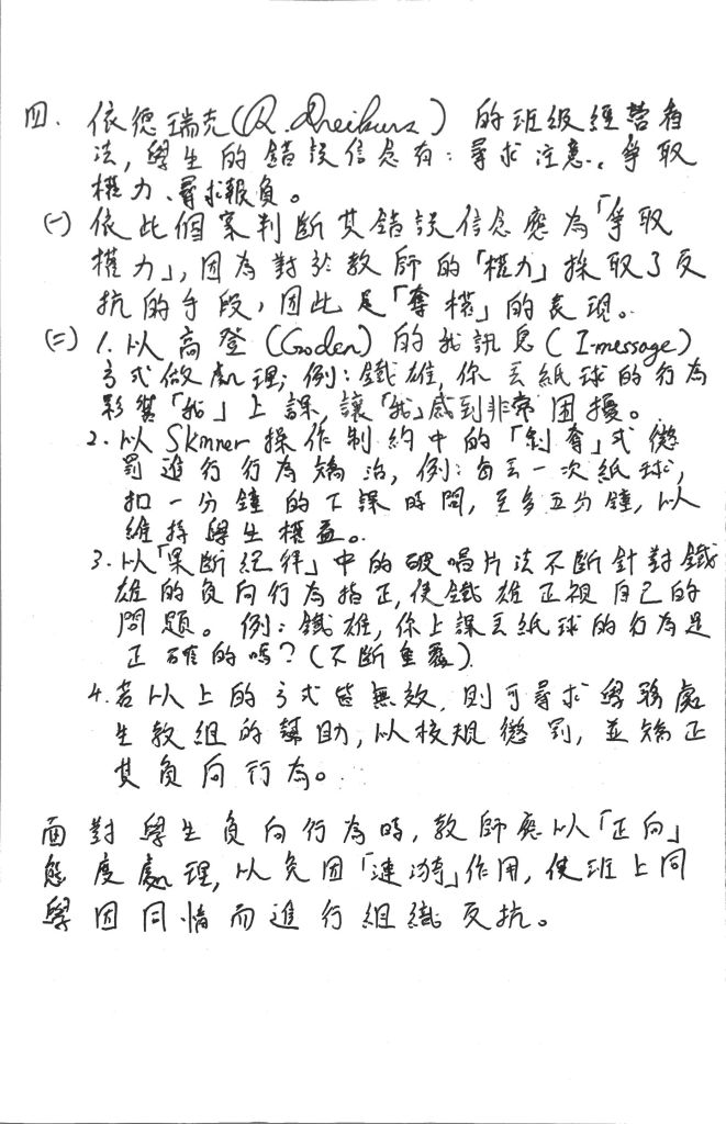
ㅡ、學者Dreikurs認為當學生得不到社會期許、社會肯定、歸屬的需求,會產生尋求注意、尋求權力、尋求報復以及顯現無能等四種錯誤的行為。就本題旨鐵雄之行為應屬於尋求權力所導致之錯誤行為,即學生以反抗老師和做其他想做的事情來企圖印證自己的權力。
二、陸老師可以處理如下:
1.鐵雄之行為以干擾到老師上課與其他同學受教權益,應安置其於教學場所一隅,暫時與其他同學保持適當距離。
2.老師與鐵雄以及鐵雄家長或監護人應有深度之對話,一方面了解鐵雄想法與其家庭背景,一方面也是展現教師的關心。
3.老師與學生們可以藉此機會重新檢視斑規的允當性與大家對規範遵守的切實性。
4.老師可利用班上之社會結構,即以同儕之間的互動,表達對鐵雄人格的肯定,也藉由人際關係的建立,使鐵雄的優點被周知;不適切的行為也會被團體的壓力而制止。
【補充】尋求權力與尋求報復的差異:
(感覺摩友的答案差異滿大的,這邊整理一些資料提供判斷)
1. 爭取權力:若他們無法控制情況,就會覺得自己無價值、不重要,因此嘗試重獲權力,由此獲得安全感。主要藉由爭辯、反駁、說謊、發脾氣和攻擊行為等方式來取得權力。個體假設具有權力才能證明自己的重要性,行為表現有反抗、不服從想要當老大。這類型孩子具攻擊傾向,其表現行為有積極性破壞(如發脾氣、公開挑釁)或消極破壞性(如不守規矩、倔強)等的行為。
→如果學生在權力鬥爭中失敗,他們會進而表現更嚴重的偏差行為──尋求報復。
Ex:我不要別人告訴我該怎麼做
2. 尋求報復:當學生從引起注意或尋求權力仍未能獲得地位時,他們的錯誤目標就是使用他們的力量去傷害他人,如此他們才感覺有意義。他們給自己惹的麻煩越大,就越覺得正當,並認為被人討厭就是勝利。尋求報復型的孩子可能經歷到一些身體上、性、情緒上的虐待或是疏忽,覺得生命對他不公平,沒有人會喜歡他,錯誤推論是傷害別人才能在社會中找到自己的地位,容易觸法犯罪的也是這類型的孩子,情形為表現有積極破壞性(如暴力、偷竊)或消極破壞性(如勉強、被動)等行為。
Ex:我覺得別人對我不公平、我要別人對我感到抱歉
→根據此題題幹所述之行為,個人淺見亦認為其錯誤行為比較偏向表現出公開挑釁、反抗、不服從、「我不要別人告訴我該怎麼做」的尋求權力類型。
【補充四種錯誤信念相關題型】
23.行為問題的發生通常是基於「獲得注意」、「爭奪權力」、「尋求報復」或「表現無能」的 需求和目標。下列哪一句話最能顯示「爭奪權力」的需求?
(A)「我要別人對我感到抱歉」(尋求報復)
(B)「我覺得別人對我不公平」(尋求報復)
(C)「我不要別人告訴我該做什麼」
(D)「我要別人瞭解被傷害的感受」(獲得注意)
教檢(教師檢定)◆兒童發展與輔導- 96 年 - 96 年高級中等以下學校及幼稚園教師資格檢定考試-兒童發展與輔導#768
資料來源:
1. 上述題目之摩友最佳詳解
2. 國家教育研究院

●問題行為類型
獲得注意(吵鬧、愛哭)、尋求權力(反抗管教,挑釁嗆聲、固執不守規矩)、尋求報復(暴力偷竊、破壞財物)、 表現無能(拒學、拒絕互動)。
我會認為是尋求權力而非尋求報復,學生在教室中反抗老師的問題行為是尋求權力。
●處理方式
1.暫時安置,避免擴大衝突
2.事後面談
3.使用我訊息陳述教師感受
4.教師尋求其餘管道協助輔導(學務處、輔導室)
(一) 因喝止鐵雄拿指團丟同學的行為,導致老師被鐵雄大罵,並用書本擲向老師,這行為符合「尋求報仇」此錯誤目標。
(二) 路老師可以用以下四種方法處理:
1. 果斷紀律法: 立即採取行動,利用班規或校規處理。
2. 將鐵雄從班級中抽離,可將他移至空教室讓他冷靜,並請輔導老師將他輔導
3. 與鐵雄父母討論此情況,了解是否因為鐵雄家庭背景因素導致,或是另有其他因素,以及討論老師與家長如何相互配合改善鐵雄行為
4. 教師可多利用班上的「社會結構」,利用同儕團體力量,讓鐵雄在做對的事時給予鼓勵,在鐵雄做錯的事時多加開導
1.鐵雄的行為應屬於Dreikurs 四項錯誤行為當中的尋求權力。
2.
1) 老師應該要先在課堂中將鐵雄與同班同學隔離,讓他先冷靜
2) 老師運用積極聆聽的方式了解鐵雄的心情
3)老師運用我訊息告訴鐵雄他的行為失當,而老師也感到很擔心且傷心
4)將此情況與家長聯絡,討論比較好的管教輔導措施
一、學生不良行為的四種錯誤目標:
- 獲得注意:當兒童沒有機會經由有益的貢獻來獲取的地位時,會轉而以「偏差行為」,有積極建設性(如:偏激的批評)、消極建設性(如:過於小心翼翼、刻意想成為模範生)、積極破壞性(如愛表現、搬弄是非)和消極破壞性(如:愛哭、無精打采)等以獲取地位。
- 尋求權力:若師長為採取鄭去的方式阻止兒童獲取注意的需要,或孩子長期處於批評與壓力之下,則孩子容易學會運用追求權力來反抗這些壓制。若他們無法控制情況,就會覺得自己無價值、不重要,因此嘗試重獲權力,由此獲得安全感。這類型孩子具攻擊傾向,其表現行為有積極性破壞(如發脾氣、公開挑釁)或消極破壞性(如不守規矩、倔強)等的行為。
- 尋求報復:尋求報復型的孩子可能經歷到一些身體上、性、情緒上的虐待或是疏忽,覺得生命對他不公平,沒有人會喜歡他,錯誤推論是傷害別人才能在社會中找到自己的地位,容易觸法犯罪的也是這類型的孩子,情形為表現有積極破壞性(如暴力、偷竊)或消極破壞性(如勉強、被動)等行為。
- 表現無能:這種孩子將無能當作盾牌,顯出無法勝任,避免任何可能失利的狀況,其表現的行為通常是被動破壞性行為(如愚蠢、拒絕與人互動),而積極的表現無能則是以自殺方式展現自己對生活的無力感。
二、輔導策略:試就各類型錯誤目標的輔導策略說明如下:
(一)獲得注意:
- 教師感覺:煩惱、苦惱
- 處理方式:以鼓勵替代稱讚,給予學生學習以正向行為尋求注意的機會(如針對學生的努力給予肯定、幫助學生評估他們自己的表現)、忽略負向行為(如忽視、眼神提醒、我-訊息等)、移動學生(如改變座位)、和兒童討論(如「我們是不是可以一起做一些計畫,讓我們兩個都能夠從中得到滿足?」、運用自然與邏輯後果、運用團體討論的方式)。
(二)尋求權力:
- 教師感覺:被挑戰、受恐嚇、憤怒
- 處理方式:
(1)提供各種不同情境,讓學生發揮才能和力量,透過循規蹈矩的方式獲得接納和地位,如:小老師、糾察隊、監督工作等,從中去mark學生好的行為並告知,讓其學習不用暴力方式也可以得到主控權。
(2)引導兒童尊重團體的決議,鼓勵兒童的合作行為。
(3)先建立良好關係,再使用自然或邏輯後果。
(4)做出兒童非預期的反應,以避免針鋒相對。
(三)尋求報復:
- 教師感覺:受傷
- 處理方式:
(1)了解與接納,並試著探求學生覺得不公之處,給予高度尊重,幫助他們發展建設性的行為; 透過自然/邏輯後果,讓學生為不當行為,負起後果,收糾正的效果,但邏輯效果須包含三R:相關的(related)、尊重的(respectful)、合理的(reasonable),且缺一不可。
(2)機會教育,對此事提出討論。
(3)運用同理心,當自己有受傷害感覺時,不做惡意的報復。
(4)建議兒童暫停目前行為,看看其他人是否真的不喜歡他。
(5)利用接納、鼓勵、團體討論的方式
(四)表現無能:
- 教師感覺:不能勝任的無力感、絕望感
- 處理方式:
(1)修正指導的方法,一次教一個步驟,設定學童可以達成的目標,提供學生較多的成功經驗,建立信心。
(2)教導積極的自我談話,如:讓孩子每天找出三個優點來肯定自我。
(3)找出過去的成功經驗,扭轉學生的自卑。
(4)透過同儕協助,以小組合作學習或學習共同體,來提升並幫助學生學習的動機。
(5)協助兒童了解,除非經過嘗試,否則無法得知自己真正的能力為何,並讓其知道,經過努力即使失敗,所有人都願意伸出援手來協助他。
64F
鐵雄被老師制止了行為(權力),他反抗老師想尋求權力
如果是尋求報復,那他應該是要先被老師'懲罰',進而反擊老師
- 尋求報復 (Dreikurs的四種錯誤目標理論架構:引起注意、爭取權力、尋求報復、表現無能。)
- 4項處理方式
- 關心狀況與告知原因:關心其情緒與行為背後的動機,說明自己干預的理由是為維護班級秩序
- 說明期望的表現行為:明確說明教師對課堂行為的期望與界限,幫助學生認知行為後果。
- 討論如何表達不滿:引導學生學習以尊重的方式表達不滿,例如:下課時間找老師討論被管教時不適的情緒與想法。
- 肯定正向行為:在學生有正向表現時予以及時肯定,重建其與教師及班級的正向連結與歸屬感。
回復一下64樓
(1) 尋求權力:學生藉由爭辯、反駁、說謊、發脾氣和攻擊行為等對抗成人表現方式來尋求權力。
(2) 尋求報復:他們給自己惹的麻煩愈大,就愈覺得正當,並認為被人討厭就是勝利。