阿摩線上測驗
登入
首頁
>
國中◆數學
> 無年度 - 104國中模擬會考 數學科#21080
無年度 - 104國中模擬會考 數學科#21080
科目:
國中◆數學 |
選擇題數:
27 |
申論題數:
2
試卷資訊
所屬科目:
國中◆數學
選擇題 (27)
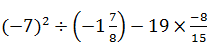
計算
可得:
(A)
(B)-16 (C)0 (D)
計算9901
2
的過程中,哪一步錯誤? 9901
2
=
(A) (9900+1)
2
(B)9900
2
+1
2
+2×8900
(C) (10000-100)
2
+1
2
+17800
(D) 10000
2
-100
2
-2×10000×100+1
2
+17800
7.51×10
-9
+7.49×10
-8
較接近下列何數? (A)1.5×10
-7
(B)1.5×10
-9
(C)8.2×10
-8
(D)8.2×10
-1
如右圖,圓O上四點A,B,C,D,
交
於P,
交
於Q, 且∠DPA=15°,∠CQB=35°,則
幾度? (A) 20° (B) 25° (C) 15° (D) 35°
如右圖四邊形,請從圖中標示的角度判斷下列關係何者正確?
如右∆ABC,
為
中垂線,
=12,
=18,
垂直
,則下列何者為
和
的比值?
已知∆ABC三邊長分別為a,b,c,而此三邊上的高分別為 h
a
,h
b
,h
c
若a=18 , b=30 , c=24,則 h
a
:h
b
:h
c
=? (A) 3:5:4 (B) 15:12:20 (C) 20:12:15 (D) 1:1:1
為圓O切線,若
=130°,則 ∠P=? (A) 40° (B) 50° (C) 65° (D) 80
下列算是何者值最小?
10. 參加露營的學生分組,三人一組,則多出一人;四人一組,則最後一組少兩人;五人一組,則多出三人;六人一組,則最後一組少兩人,則參加露營的人數最少幾人? (A)28 (B)58 (C)178 (D)182 (單位:人)
11. 右下圖是由紐護調查班上家庭人數後所畫的圓餅圖,其可用盒狀圖表示為下列何者?
如右圖,甲袋裝著0.1.3.7.9的數字卡,乙袋裝著0.2.4.5.6.8.的數字卡,若將甲、乙抽出依序當作十位數及個位數,所組成的數(十位數、個位數可為0)為質數的機率為何?(每張卡片被抽出的機會相等)
13. 李鴻章和曾國藩聊天,曾國藩說:「清廷和日本簽訂馬關條約時(西元1895年)我的年齡是你的三倍;與八國聯軍簽訂辛丑合約時(西元1901年)我的年齡是你的兩倍多四歲。」 則美國發表門戶開放政策時(西元1899年)李鴻章幾歲? (A)14 (B)15 (C)37 (D)39
平分∠ABC,
平分∠DBC,
=3,
=3,
=5,則塗色面積占ABC面積的幾分之幾?
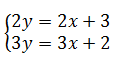
兩人計算
時,馬可魯誤看下式的常數項2,帶入兩組x,y發現他們皆可使聯立方程式成立;米辛格誤看上式的x項係數,解方程式得x= 1/3 ,y=1,則馬可魯和米辛格分別將2和2x看錯成何者? (A)9/2,3/2x(B)3,3/2x(C)3,3x(D)9/2,3x(E)
9/2,-3x
16. 下圖英格蘭(左)與德意志(右)的對話,可推測德意志原本最多有多少錢?
(A)150 (B)151 (C)170 (D)171 (單位:元)
如右圖,平行四邊形ABCD,
=13,
=14,
=15 則平行四邊形ABCD面積為下列何者?
(A)84 (B)168 (C)42√2 (D)92√2
由小到大共有12個整數,中位數=12,第三四分位數<13,第二十百分位數>10,眾數≠12,但平均數=12,則關於此數列,何者正確? (A)第三四分位數為13 (B)此數列中最小的數正好就是眾數 (C)此數列最大的數可能為16 (D)以上皆是
等腰梯形ABCD中,內接一圓,
=9,
=25, 則其內接圓半徑=?
(A)
(B)3√6 (C)7.5 (D)8
如右圖,∠BPD=130°,則∠A+∠B+∠C+∠D+∠E+∠F=? (A)260° (B)245° (C)210° (D)310°
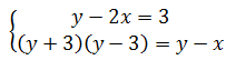
解聯立方程式
若x,y 為整數,則x+y=? (A)30 (B)3 (C)12 (D)-6
如右圖,等腰梯形ABCD,
, E,F分別為
中點,試求塗色面積?
(A)100 (B) 20(A)
(C)80 (D)
若定義a培b=(a+2)(3b-2)-1,則滿足(m培m)培1=0的所有實數m值和=? (A)1 (B) -1 (C) 4/3 (D) - 4/3
解 ax+b>0 和 bx+a<0 皆得x>k,則解 -bx+a>0¬則可得? (A) x>1 (B) x>-1 (C) x>K (D) 無解
圓O外部一點P,以
中點為圓心,
為半徑畫弧交圓O於A、B,則下列敘述何 者錯誤? (A)∠APO與∠AOP互餘 (B)A,O,B不可能共線 (C)若
<2倍的圓O半徑,則∠AOB最大可到135° (D)若∠APB=60°,則圓O與圓P外切
下列敘述何者錯誤? (A)過圓O上兩點A,B分別做其切線,兩切線交於P,若
垂直
,則OABP為正方形 (B)ΔABC內切圓O,則
任取兩線段不可能垂直 (C)3
x
=6 ,6
y
=9,則xy=2 (D)a,b為無理數,則(√5+a)(√5+b)也為無理數
如下圖雲霄飛車設計圖,地面上的軌道原為二次函數圖形,最高點距地4m,但因過於刺激,設計師改將下坡坡度減小,因此決定過A(距地3.5m,距最高點
)做原二次函數圖形的切線
[即此斜直線只和原二次函數交於一點],則地面與新軌道的兩個交點(C , D)按理應距離多長?
(單位:公尺)
申論題 (2)
【已刪除】1.0
2+3b
2
=10ab,求
?
【已刪除】 ∆ABC中,M為
中點,
,且
於N, 試證:
相關試卷
111年 - 一元一次方程式(國中數學)#109842
111年 · #109842
111年 - 二元一次方程式(國中數學)#109841
111年 · #109841
111年 - 直角坐標與方程式的圖形(國中數學)#109840
111年 · #109840
111年 - 比例式與正反比(國中數學)#109838
111年 · #109838
111年 - 不等式(國中數學)#109837
111年 · #109837
111年 - 分數四則運算總複習(國中數學)#109836
111年 · #109836
111年 - 統計圖表與統計量一(國中數學)#109833
111年 · #109833
110年 - 110 陳堡國中資優數學(國二數學週考卷)#106128
110年 · #106128
109年 - 109學年度雲嘉南區國中數學能力競試-數學一試題#93958
109年 · #93958
109年 - 109學年度雲嘉南區國中數學能力競試-數學二試題#93957
109年 · #93957