所屬科目:教甄◆物理科專業
2.如圖所示,一長度L =1公尺,兩端開口的靜止中空長管。長管的左端有一聲源發出 620 Hz 的聲波並以 30 m/s 的速度向長管移動,而右端也有另一 聲源發出 660 Hz 的聲波並以 10 m/s 的速度靠近長管。兩 聲源所發出的聲波可在長管中產生駐波,則此時長管中的 節點數有幾個?(假設當時聲速為 340 m/s,且聲源皆未進 入管中)
3.如圖所示,一質量為 m 的活塞,可沿無摩擦的氣缸壁自由滑動,氣缸內裝一 理想氣體。今在大氣壓力 P0 時,活塞恰呈靜止,此時活塞距氣缸底部高為 H, 今若施力使活塞向下有一極小的位移後放手,活塞將作一簡諧運動,則此簡諧 運動的週期為?(設活塞面積為 A,重力加速度 g,且氣體溫度保持不變)
4.如附圖裝置中,A 重 10 kgw,B 重 5 kgw。A 與 B 之間及 B 與斜面間之靜 摩擦係數均為 0.1,則能使系統維持不動時,C 物體重量 WC有何限制?
5.兩平行的平面鏡 M1與 M2相距 24 cm,一人 S 位在 M1鏡的前方 8.0 cm 處,如附圖所示。試問 M2面鏡鏡內第 10 個像之 z 坐標為何?
6:可見光中,所含的光子之平均波長為 5000 埃,普朗克常數,光速 c=3 × 108 公尺⁄秒,則一 100 瓦特的燈泡,在可見光範圍發射的功率為總功率的 1%,則此燈泡每 秒所發射的可見光子數約為幾個?(以科學記號表示,四捨五入至小數第一位)
7.一電阻為 R 的金屬環放在均勻磁場中,磁場與圓環所在的平面垂直。穿過該 圓環的磁通量Φ 隨時間 t 的變化規律如圖所示。圖中的最大磁通量Φ0和週期 T 都是已知量。求在 0≤ t<T 秒的時間內,金屬環中產生的熱能為若干?
8.如圖所示,一半徑 r=0.3 m 的圓形區域,具有一均勻磁場 B=0.02 T,方向為垂直此圓平 面向外。一帶正電粒子,以初速 v=1.2 × 106 m⁄s 垂直射入此磁場,設該 粒子的荷質比 ,忽略重力,則此粒子在磁場中運動的最長時 間約為幾秒?
9.寬為 L 的圓柱 U 型管,內裝有水,置於光滑的水平桌面上,U 型管以 左邊的鉛直臂為軸,以角速度 ω 逆時針旋轉,如圖所示。求兩邊鉛直 臂之水面高度差?
10.一質量 m 的物體在一水平無摩擦力的桌面上做圓周運動,其向心力由 一繩索穿過桌面洞口下方所聯結的兩個相同質量 M 的重物所提供,如圖 所示。如果將其中一懸掛質量 M 移走,則其繞轉半徑變為原來的幾倍?
11.如下圖(a)所示一根鉛直懸掛不可伸長的輕繩,下端掛一個小物體 A,上端固定在 C 點且 與一個能夠測量繩的拉力的測力感應器相連。已知有一個質量 m 的子彈沿水平方向以速度 v 射入小物體 A 內並留在其中,接著兩者一起繞 C 點在鉛直面上作圓周運動,在各種阻力都 可忽略的條件下,測力感應器測得繩的拉力 F 隨時間 t 變化的關係圖如(b)所示。已知子彈 射入時間極短,且(b)圖中 t=0 為 A、B 開始以相同速度運動的時刻,求繩長為何?(重力加 速度為 g;答案以 v,m,Fm,g 表示)。
12.在光滑水平長軌道上,放著一個靜止的彈簧振子,它由一個輕彈簧兩端各連結一個小球 構成,小球的質量相等。將 N 個相同的振子放在軌道上如下圖所示,最左端的振子被壓縮 至彈簧為某一長度後鎖定,靜止在適當位置上,這時它的彈力位能為 E,其餘各振子間都有 一定的距離。現在解除對振子 1 的鎖定後,任其自由運動,當彈簧第一次恢復到自然長度時, 剛好與振子 2 碰撞,此後繼續發生一系列的碰撞,每個振子被碰撞後剛好都是在彈簧第一次恢復到自然長度時與下一個振子相碰。求所有可能的碰撞發生後,第一個振子與第 N 個振 子彈力位能極大值的和。(設兩球發生碰撞時為彈性碰撞)
13.如圖所示為一種測定肺活量(人在一大氣壓下一次呼出氣體的體積) 的裝置示意圖。圖中 A 為倒扣在水中的開口圓筒,測量前排盡其中的 空氣,測量時被測者盡力吸足空氣,再通過 B 將空氣呼出,呼出的空氣 通過導管進入 A 內,使 A 浮起,設整個過程溫度不變,已知圓筒 A 的 質量為 m,橫截面積為 S,大氣壓力為 P,水的密度為 ρ,筒底浮出水 面的高度為 h,則被測者的肺活量有多大?
14.如圖所示金屬桿 ab 放在兩水平放置的金屬導軌上,導軌電阻不計,導軌間的寬度為 1.0m,其間有一鉛直向上的均勻磁場 B=1.0T,現用導線與插入電 解槽中兩惰性電極 A、B 相連,迴路的總電阻為 2Ω,電解液為 500ml 的硫酸銅水溶液。現對 ab 棒施加一個大小為 3N 的水平恆力,ab 棒即開始運動,最後到達穩定狀態。從 ab 棒開始運動到 ab 棒剛 達穩定狀態過程中,A、B 中的某一電極增重 3.2mg(設電解時該電 極無氫氣析出,且不考慮水解和溶液體積的變化)。求從 ab 棒開始 運動到達穩定狀態的過程中,ab 棒移動的距離?
16.一固定之均勻帶電圓環,半徑為 R,帶電量為 Q。另有一點電荷質量為 m,帶電量為 -q(Q>0 且 q>0),被侷限在圓環的中心垂直軸上運動,此點電荷在離圓環中心 R處 自靜止被釋放,則電荷到達環心時之速率為何?
17.一點光源在水槽內沿垂直水面的鉛直線以 2 cm⁄s 的速率等速上升,若水的折射率為 , 則水面透光面積的外緣應以多少 cm⁄s 的速率內縮?
18.電荷 q 均勻分布在半球面 ABC 上,球面半徑為 R、CD 為通過半球 球頂 C、球心 O 的軸線。P、Q 為 CD 軸線上,等距位於 O 兩側的兩 點,已知 P 點的電位為 VP,求 Q 點的電位為何(設庫倫靜電力常數為 K)?
19.質量m、帶負電荷的塑膠小球,與質量為M不帶電的小球之間,以絕緣細繩 相連後,置於方向為鉛直向下的均勻電場中,兩球恰能以等速v 下降;若細繩於 途中斷裂,則:自繩斷裂至帶負電荷的塑膠小球速度為零的過程中,靜電力對 該球所作的功為何?
20.如圖,一質量為m、帶-q電荷的小物體,可於水平軌道O-x上運動; O端有一固定之鉛直牆,軌道處於方向向右、強度為E的均勻電場 中。小物體以初速 0 v 自距牆 0 x 處沿軌道運動,過程中受大小不變的 摩擦力f作用(f<qE)。若小物體與鉛直牆碰撞時無能量損失,求其停 止運動前所經過的總路程為何?
21.水平桌面上有 A、B、C 三木塊堆疊在一起,呈靜止狀態。已知木塊 A、B、C 之重量分別為 3W、2W 與 3W,則 A、B 間的摩擦力與 B、C 間的摩擦力的比值為若干?
22.如附圖所示,已知萬有引力常數 G,地球質量 M,一顆流星質 量 m,距地球 r 時速度 v0,當流星由 A 點(距地球 r)到達 B 點 (距地球 )的過程中,求在 B 點處流星的速率為何?
23.一彈簧系統由力常數為 k 的一條彈簧和質量同為 m 之二木塊所組成,此系統被置放於一 光滑水平桌面上,左方木塊倚靠牆壁,如左下圖所示。現有另一質量亦為 m 的木塊自右方以 速度 v 撞向此彈簧系統,碰撞後此木塊和彈簧系統右邊之木塊連在一起。因牆壁之作用力, 最後彈簧系統及入射之木塊會一起向右方運動,試求在最左方木塊離開牆壁後,彈簧的最大 壓縮量為若干?
24.如右上圖所示,一置放在光滑水平桌面上的木塊,質量為 m,以一自然長度為 0,力常數 為 k 的輕彈簧,沿鉛直方向固定在上方,此時彈簧的伸長量為零。若木塊的質量 m< 。, 並以初速 vo 向右沿水平方向射出,則欲使木塊衝離桌面, vo 的最小值為何?
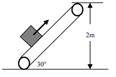
25.如下圖所示,A 為一固定不動的光滑軌道,質量 30Kg 的台車 B 緊靠著 A 的右側。現有一 質量為 20Kg 的塊狀重物 C,在高出台車平面 0.8m 處,沿軌道以 3m/s 的初速度下滑,衝上 小車。設 C 與 B 車板面間的摩際係數為 0.5,B 車與地面間的摩擦可以忽略,則 B 台車的長 度至少應為若干公尺,重物 C 才不致滑出其板面?
27.有一發光波長為663奈米的發光射二極體,有20%的電 子—電洞對在結合時會發出一個光子,其餘80%的結合以熱 的形式散發能量,如右圖所示,圖中 為電子、 為電洞。 若此發光射二極體發出功率為0.45瓦特的光時,則通過此光 發射二極體的電流為多少安培?(h=6.63×10-34J.s)
29.兩條很輕、長度同為 l 的平行繩子,繫住一質量為 m,長度為 2a 的均勻直桿的兩端, 使其鉛直懸掛如右圖所示。不考慮任何因摩擦而損失的能量,輕敲直 桿的一端,使其繞通過直桿質心的鉛直軸轉動,起始的角速度為ω0。 假設在運動過程中,繩子的長度維持不變,問直桿的質心可以上升的 最大距離?(提示:直桿繞通過其質心的垂直軸的轉動慣量為 mL2 , 式中 m 為直桿的質量,L 為桿長。)
30.考慮在公園裡的一座噴水池,位於池中央的噴水頭 為半球形,其上佈滿許多噴水孔,可使水以同一速率v 從各個角度和方向噴出,形成水幕,如下圖所示。試 求水幕的最大高度和其圓形底面直徑的比值為何?
三.實驗題:每題 10 分,共 20 分 1.請利用所給予的器材設計一個實驗求出木塊與壓克力及木塊與桌面間的動摩擦係數,內容 需包括(a)實驗設計之理論基礎(5 分)及(b)實驗步驟(5 分)