阿摩線上測驗
登入
首頁
>
微積分
> 100年 - 100年升官等、關務人員升官等考薦任_物理#26900
100年 - 100年升官等、關務人員升官等考薦任_物理#26900
科目:
微積分 |
年份:
100年 |
選擇題數:
0 |
申論題數:
8
試卷資訊
所屬科目:
微積分
選擇題 (0)
申論題 (8)
【已刪除】一、試求極限
。(10 分)
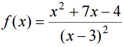
【已刪除】二、試討論函數
之圖形的漸近線、遞增、遞減與凹凸方向。(15 分)
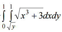
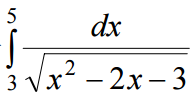
【已刪除】三、試求積分
之值。(15 分)
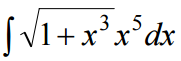
【已刪除】四、試求不定積分
。(15 分)
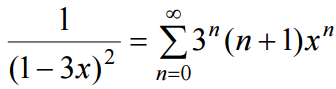
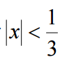
【已刪除】⑴證明當
時,
。(10 分)
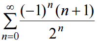
【已刪除】⑵利用⑴求級數
之值。(10 分)
【已刪除】六、試求積分
之值。(15 分)
【已刪除】七、E 是由球面
與圓錐
所圍起來之封閉固體,求此固體之體 積。(10 分)
相關試卷
114年 - 114 公務升官等考試_薦任_物理:微積分#133273
114年 · #133273
114年 - 114 一般警察特種考試_三等_消防警察人員:微積分#127792
114年 · #127792
113年 - 113 普通考試_天文:微積分#121499
113年 · #121499
113年 - 113 一般警察特種考試_三等_消防警察人員:微積分#120498
113年 · #120498
112年 - 112 公務升官等考試_薦任_物理:微積分#117315
112年 · #117315
112年 - 112 普通考試_天文、氣象:微積分#115417
112年 · #115417
112年 - 112 一般警察特種考試_三等_消防警察人員:微積分#114953
112年 · #114953
112年 - 112 身心障礙特種考試_四等_氣象:微積分#113932
112年 · #113932
111年 - 111 普通考試_氣象:微積分#109324
111年 · #109324
111年 - 111 一般警察特種考試_三等_消防警察人員:微積分#108604
111年 · #108604