所屬科目:微積分
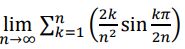
(一)
(二)
二、已知函數f(x)滿足 ,試求f(x)的函數圖形在點(2, f(2))之切線方程式。(20 分)
三、若定義,H(x,y,z)=F(G(x,y,z)),試計算 。(25 分)
四、令D = {(x,y)| 0 ≤ 3x + 4y ≤ 2, 0 ≤ 3x − 4y ≤ 2},試計算下列重積分的值: 。(25 分)