所屬科目:微積分
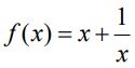
三、找出方程式的絕對最大值(absolute maximum)及絕對最小值 x (absolute minimum), 。(25 分)
四、計算不定積分(indefinite integral) ∫ x 2 x dx 。(25 分)