所屬科目:微積分
一、已知 F ( x ) =,而 f ( x ) 是可微分的函數, f (2) = 32 , f '(2) = 20。 試求 F '(2) 。
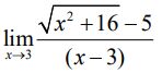
二、試求 lim 。
四、已知函數 f ( x ) =,0 ≤ x ≤ 4,試求此函數 f ( x ) 的反函數及其相對應的定義域和值域。
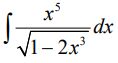
六、試求積分。(15 分)
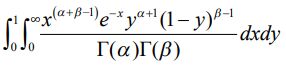
七、試求積分, 在此α>0, β>0, 0<x<∞ , 0<y<1 。(15 分)