所屬科目:微積分
一、 ,試求 f '(x) 。(10 分)
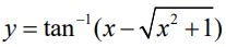
三、假設,試求 。(10 分)
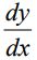
四、試求。(10 分)
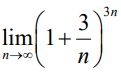
五、試求積分。(15 分)
六、試求。(15 分)
七、試求極平面上,在圓半徑 r = 2 外部且在心臟線 r = 2(1 + cosθ ) 內部的面積。(15 分)
八、有一均勻物質薄片,其形狀是由 y = sin x 與 y = cos x 之間所圍成的圖形, 圖形於第一象限內,且在 x = 0 到 x = π / 4 的區域,假設此一物質的密度是常數 k,求此一薄片的質心。(15 分)