所屬科目:微積分
一、試求極限值。(10 分)
(一)求x3+y3−6xy= 0之切線斜率 。(10 分)
(二)求通過指定點( )的切線方程式。(5 分)
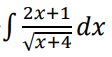
六、試利用分部積分法,求不定積分。(15 分)
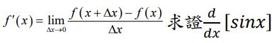
七、請利用= cosx。(15 分)