阿摩線上測驗
登入
首頁
>
微積分
> 111年 - 111 普通考試_氣象:微積分#109324
111年 - 111 普通考試_氣象:微積分#109324
科目:
微積分 |
年份:
111年 |
選擇題數:
0 |
申論題數:
6
試卷資訊
所屬科目:
微積分
選擇題 (0)
申論題 (6)
(一)在那些地方連續?那些地方不連續?請詳述理由。
(二)在那些地方可微分?那些地方不可微分?請詳述理由。
二、求反三角函數 f (x, y ) =
1 之所有二階偏微分。
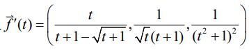
三、已知向量函數
且
= (3, 2,1),求
。
四、求自然對數函數 f ( x ) = ln x 對 x = a > 0 這點展開的泰勒級數一般項公式及其收斂半徑。
五、求 f ( x, y ) =
x
3
+ y
3
- 3 x - 3 y
2
在區域 {( x, y )|0 ≤ x ≤ 3, 0 ≤ y ≤ 3} 的最大值和最小值,並分別找出產生最大值和最小值的所有點。
相關試卷
114年 - 114 公務升官等考試_薦任_物理:微積分#133273
114年 · #133273
114年 - 114 一般警察特種考試_三等_消防警察人員:微積分#127792
114年 · #127792
113年 - 113 普通考試_天文:微積分#121499
113年 · #121499
113年 - 113 一般警察特種考試_三等_消防警察人員:微積分#120498
113年 · #120498
112年 - 112 公務升官等考試_薦任_物理:微積分#117315
112年 · #117315
112年 - 112 普通考試_天文、氣象:微積分#115417
112年 · #115417
112年 - 112 一般警察特種考試_三等_消防警察人員:微積分#114953
112年 · #114953
112年 - 112 身心障礙特種考試_四等_氣象:微積分#113932
112年 · #113932
111年 - 111 一般警察特種考試_三等_消防警察人員:微積分#108604
111年 · #108604
111年 - 111 身心障礙特種考試_四等_氣象:微積分#107465
111年 · #107465