所屬科目:微積分
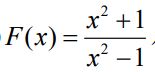
(一) 為有理函數,請說明 F 的定義域及函數的連續性。x 1
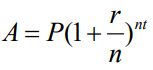
(二)若 P 元存入銀行帳戶,年利率為 r , n 為每年複利次數, t 年後帳戶餘額 A 的公式為:
當 n 越大時,1 年後帳戶餘額 A 趨近於何值?
二、令函數 f ( x) = x4 + x3 - 3x2 + 1,請討論函數圖形的凹性。
三、某產品 x 單位的邊際成本為 32 - 0.04 x,若生產一單位的費用為 50 元,試求生產 200 單位的總成本為何?
四、求函數 f ( x) = - x2 + x 與 x 軸所圍成區域對 x 軸旋轉的立體體積。
五、請證明常態機率密度函數圖形的反曲點在 x = ±1。