阿摩線上測驗
登入
首頁
>
微積分
> 100年 - 100年專門職業及技術人員高等會計師、社會工作師、不動產估價師、專利師、100年專門職業及技術人員高等律師考高等_專利師(選試專業英文及工程力學)#27100
100年 - 100年專門職業及技術人員高等會計師、社會工作師、不動產估價師、專利師、100年專門職業及技術人員高等律師考高等_專利師(選試專業英文及工程力學)#27100
科目:
微積分 |
年份:
100年 |
選擇題數:
0 |
申論題數:
18
試卷資訊
所屬科目:
微積分
選擇題 (0)
申論題 (18)
【已刪除】
⑴若
,求α=?(10 分)
【已刪除】(二)
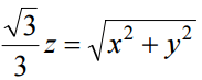
【已刪除】二、計算區域 E 的體積,其中 E 是在錐
上方且在球
內部 所圍出的區域。(20 分)
⑴金屬斜坡固定於桌面,且金屬塊、金屬斜坡、桌面間均無摩擦力。(5 分)
⑵金屬斜坡固定於桌面,金屬塊與金屬斜坡有動摩擦係數μ,但與桌面間無摩擦力。 (5 分)
⑶金屬斜坡不是固定於桌面的,但金屬塊、金屬斜坡、桌面間均無摩擦力。(5 分)
⑴電荷是否靜止不動?意即電荷平均速度是否為 0?請解釋你的答案。(5 分)
⑵與球心距離相等的各點,其電荷分布(即電荷密度)是否相同?請解釋你的答案。 (5 分)
⑶球內外各點之電場 E,大小為何,方向會指向何處?請解釋你的答案。(5 分)
【已刪除】⑴完全將一克氫反應 掉所需
及
的莫耳數與重量是否一樣?(3 分)
⑵為什麼?(2 分)
六、若欲將 15 mL,0.25 M的Pb(NO
3
)
2
中之Pb(II)完全沈澱下來,最少需要 0.1 M的Na
3
PO
4
多 少mL?(5 分) (各元素之原子量為 Pb:207 克每莫耳;N:14 克每莫耳;O:16 克每莫耳;Na: 23 克每莫耳;P:31 克每莫耳)
【已刪除】七、商店所販賣的熱袋(heat pack)的化學反應可用下式表示:
請問當 4 莫耳的鐵與過剩的O
2
反應後可放出多少熱?(5 分)
八、請寫出氫燃料電池(Fuel cell)的陰、陽極反應的反應式。(5 分)
九、請畫出下列化合物之⑴Lewis 結構。(3 分)⑵排列出其極性大小(從小到大)。(2 分) CHCl
3
, CCl
4
, CH
2
Cl
2
⑴請寫出全反應。(1 分)
⑵那個是催化劑?(2 分)
⑶那個是中間產物?(2 分)
相關試卷
114年 - 114 公務升官等考試_薦任_物理:微積分#133273
114年 · #133273
114年 - 114 一般警察特種考試_三等_消防警察人員:微積分#127792
114年 · #127792
113年 - 113 普通考試_天文:微積分#121499
113年 · #121499
113年 - 113 一般警察特種考試_三等_消防警察人員:微積分#120498
113年 · #120498
112年 - 112 公務升官等考試_薦任_物理:微積分#117315
112年 · #117315
112年 - 112 普通考試_天文、氣象:微積分#115417
112年 · #115417
112年 - 112 一般警察特種考試_三等_消防警察人員:微積分#114953
112年 · #114953
112年 - 112 身心障礙特種考試_四等_氣象:微積分#113932
112年 · #113932
111年 - 111 普通考試_氣象:微積分#109324
111年 · #109324
111年 - 111 一般警察特種考試_三等_消防警察人員:微積分#108604
111年 · #108604