阿摩線上測驗
登入
首頁
>
微積分
> 100年 - 100年高等三級暨普通考高考三級_核子工程#26877
100年 - 100年高等三級暨普通考高考三級_核子工程#26877
科目:
微積分 |
年份:
100年 |
選擇題數:
0 |
申論題數:
6
試卷資訊
所屬科目:
微積分
選擇題 (0)
申論題 (6)
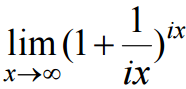
【已刪除】⑴令
,求
。(10 分)
【已刪除】⑵求
。(15 分)
【已刪除】二、求
(Cauchy 型)之通解。(20 分)
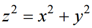
【已刪除】三、求
在曲面
上之極大值和極小值, 用 Lagrange 法。(20 分)
【已刪除】四、證明圓錐曲面
和球面
在每一個相交點
皆為正交 (Orthogonal),也就是兩曲面在 點之二切面的法線(Normal Lines)為垂直。 (20 分)
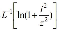
【已刪除】五、令
,求反拉氏變換
,用
。 (15 分)
相關試卷
114年 - 114 公務升官等考試_薦任_物理:微積分#133273
114年 · #133273
114年 - 114 一般警察特種考試_三等_消防警察人員:微積分#127792
114年 · #127792
113年 - 113 普通考試_天文:微積分#121499
113年 · #121499
113年 - 113 一般警察特種考試_三等_消防警察人員:微積分#120498
113年 · #120498
112年 - 112 公務升官等考試_薦任_物理:微積分#117315
112年 · #117315
112年 - 112 普通考試_天文、氣象:微積分#115417
112年 · #115417
112年 - 112 一般警察特種考試_三等_消防警察人員:微積分#114953
112年 · #114953
112年 - 112 身心障礙特種考試_四等_氣象:微積分#113932
112年 · #113932
111年 - 111 普通考試_氣象:微積分#109324
111年 · #109324
111年 - 111 一般警察特種考試_三等_消防警察人員:微積分#108604
111年 · #108604