阿摩線上測驗
登入
首頁
>
微積分
> 100年 - 100 空軍航空技術學院_甄試入學_二技系:微積分#27620
100年 - 100 空軍航空技術學院_甄試入學_二技系:微積分#27620
科目:
微積分 |
年份:
100年 |
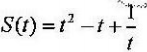
選擇題數:
25 |
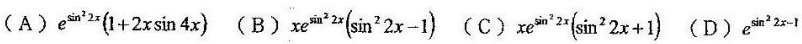
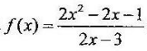
申論題數:
0
試卷資訊
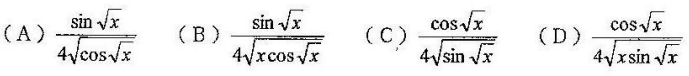
所屬科目:
微積分
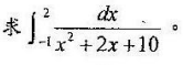
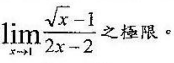
選擇題 (25)
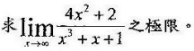
1
(A) 0 (B)oo (C)
(D)
2
(A)0 (B) ∞ (C) 1 (D)
3
(A).0 (B) ∞ (C) 1 (D)
4
(A)-1 (B)0 (C)1 (D)2
5.求
之斜漸近線。
(A)y=x+5 (B)y=x+
(C)y=x-
(D)y=x-5
6. 設f(x)=x
2
e
-3x
.求導函數f'(x)
(A)e
-3x
(3x-2x
2
) (B)e
-3x
(2x-3x
2
) (C) -3x
2
e
-3
(D)x
2
e
-3x
7.求 f(x) : sin x-cos
2
在閉區間[0,2 π ]之極小值
(A)1 (B)-1 (C)
(D)
8.設f(x) = √x+2,試求導數f'(2)值
(A) 2(B)1 (C)
(D)
9.求f(x)=3
sin x
之導函數f'(x)。sin x
(A)3
sin x
cos x (B) 3
sin x
sin x
(C) 3
sin x
cos x.ln3
(D)3
sin x
sin x.ln3
10.求橢圓2x2+y2=6.在點(1,2)之切線斜率
(A) -1(B) 1(C)2 (D)
11.設位移方程式
.
,在時間(t=1)時之加速度(A) -1(B) 1(C) -4(D)4
12.設f(x) sin x.cos x,求三階導函數
(A)-4sin x.cos x (B)-4cos2x (C)-4sin2x (D)4sin x.cos x
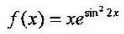
13.設f(x)=
之導函數f'(x)
14.求
之導函數f'(x)。
15.求 f(x)= ln(tan x)之導函數f'(x)。
16.求
。
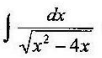
17.求
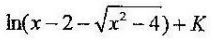
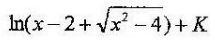
.x>2。設K為任意常數。(A)
(B)
(C) 1/2ln(x
2
-4) + K (D) 2ln(x
2
- 4) +K。
18
19
(A)ln 2 (B) in 4 (C) In 6 (D) In 8
20.求 ∫(tan
3
x)(scc
4
x).設K為任意常數
21.若有一固定力
(以牛頓計)作用於一物體,使其由P(2,1,3)移到Q(9,4,6),距離單位為公尺.其所做的功(單位:焦耳)
(A) 12 (B)24 (C) 36 (D) 6
22.己知四點A(1,2,-1)、B(2,0,3)、C(1,4,-2)及D(1,-3,5).求以
為三鄰邊的平行六面體| (A) 3 (B)7 (C)11 (D) 15
23.求
上的純量投影
24求兩向量
間之夾角的正弦值。
25.設
為三維空間中之任意向量,則下列何者不正確。
申論題 (0)
相關試卷
114年 - 114 公務升官等考試_薦任_物理:微積分#133273
114年 · #133273
114年 - 114 一般警察特種考試_三等_消防警察人員:微積分#127792
114年 · #127792
113年 - 113 普通考試_天文:微積分#121499
113年 · #121499
113年 - 113 一般警察特種考試_三等_消防警察人員:微積分#120498
113年 · #120498
112年 - 112 公務升官等考試_薦任_物理:微積分#117315
112年 · #117315
112年 - 112 普通考試_天文、氣象:微積分#115417
112年 · #115417
112年 - 112 一般警察特種考試_三等_消防警察人員:微積分#114953
112年 · #114953
112年 - 112 身心障礙特種考試_四等_氣象:微積分#113932
112年 · #113932
111年 - 111 普通考試_氣象:微積分#109324
111年 · #109324
111年 - 111 一般警察特種考試_三等_消防警察人員:微積分#108604
111年 · #108604