所屬科目:警專◆甲組數學
3. 不等式≥ 1 的解集合為? (A) {x | x ≥ 2 或 x ≤ − 5} (B) {x | x ≥ − 5 且 x ≠ 2} (C) {x | − 5 < x < 2} (D) {x | x > 2 或 x ≤ − 5} 。
7. 在△ABC 中,已知 tanA.tanB = 1,則下列何者恆正確? (A) (B) ∠C = 90° (C) ∠A = 45° (D) 。
8. 若 sin 2 = a,則下列何者正確? (A) (B) (C) (D)
9. 在△ABC 中,∠A,∠B,∠C 之三對邊長分別為 a,b,c,若滿足 3(a − b + c) = 14(sinA − sinB + sinC),則此三角 形的外接圓半徑 R 為? (A) (B) (C) (D) 。
13. 設 A﹐B ﹐C 三點不共線,點 P 與 A﹐B ﹐C 三點在同一平面上,且 ,令 AP與BC 之交點為M , 若 , x , y∈ R,則 x 為? (A) (B) (C) (D) 。
14. 設點 P 在球面 S:x2 + y2 + z2 = 9 上移動,點 Q 在平面 E:2x − y − 2z = 15 上移動,則 的最小值為? (A) 2 (B) 5 (C) 8 (D) 13 。
15. 在空間中,直線 L: ,t∈R,下列何者為真? (A) L 與 5x + 3y + z = 1 垂直 (B) L 與 z 軸垂直 (C) L 與 xy 平面平行 (D) L 與 xy 平面垂直 。
18. 若點P(a,b)是橢圓 Γ:和拋物線 Γ ′:y=2-4x的一個交點,則下列何者也是 Γ 和Γ '的交點?
(A) (B) (C)(D)。
19. 數列 (n =1﹐2﹐3﹐…),則a30為? (A) 10 (B) 90 (C) 60 (D) 30 。
21. 矩陣經列運算化簡成為,則? (A) a > 0 ﹐b > 0 (B) a > 0 ﹐b < 0 (C) a < 0 ﹐b < 0 (D) a < 0 ﹐b > 0 。
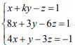
24. 方程組之解恰有一組,其中 x = 2 ,則 k 為? (A) 1 (B) 2 (C) 3 (D) 4 。
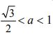
25. 設 m 為實數,若二次式 mx2 + (m − 1)x + (m − 1) > 0 對任何實數 x 恆成立,則下列何者正確? (A) m < −1 (B) m >1 (C) m > (D) m< − 。
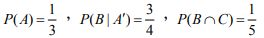
26. 設 A﹐B ﹐C 為獨立事件,且,試求 之值為? (A) (B)(C) (D) 。
27. 若,在0 ≤ x≤2 的條件下,則 y之最大值是? (A) 6 (B) 8 (C) 16 (D) 22 。
28. 有關方程式 ,下列敘述何者正確? (A)恰有兩個虛根 (B)恰有一個實根 (C)恰有兩個實根 (D)恰有三個不等實根 。
29. 若函數 ,則下列敘述何者正確? (A) x = 0 時, f (x) 有極大值 2 (B) x =1時, f (x) 有極大值 0 (C) x = −1時, f ( x) 有極大值 4 (D) x = 2 時, f (x) 有極大值 4 。
34. 空間中三點,A ( 3 , 3 , 0 ),B ( 1 , 2 , 2 ),C ( 4 , 2 , 2 ),平面 E:2x+3y-6z=1,下列敘述哪些為真? (A) A 點到平面 E 的距離為 3 (B) A 點對於平面 E 的正射影點為 (C) A 點對於平面 E 的對稱點為 (D) △ABC 在平面 E 上的正射影面積為 15 (E)過 A、B、C 三點之平面與平面 E 的夾角為 θ,則 sinθ=1 。
36. 在重複丟一個公正硬幣 10 次的試驗中,下列敘述哪些是正確的? (A)不可能出現 10 次反面 (B)出現正面次數的期望值為 5 次 (C)恰出現 5 次正面的機率為 (D)出現 6 次正面的機率等於出現 4 次正面的機率 (E)第 10 次出現正面的機率為 。