阿摩線上測驗
登入
首頁
>
微積分
> 101年 - 101年高等三級暨普通考普通_氣象#26249
101年 - 101年高等三級暨普通考普通_氣象#26249
科目:
微積分 |
年份:
101年 |
選擇題數:
0 |
申論題數:
8
試卷資訊
所屬科目:
微積分
選擇題 (0)
申論題 (8)
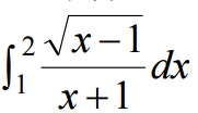
【已刪除】⑴求
(10 分)
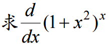
【已刪除】⑵求
(10 分)
二、一直徑 4 公尺,深 8 公尺錐角朝上之正圓錐水桶,每分鐘注入 3 立方公尺的水,求 水深 5 公尺時,水的上升速度。(15 分)
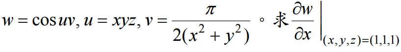
【已刪除】三、令
(15 分)
【已刪除】四、求曲面
在點 1,1,−1 )( 處之切平面方程式。(15 分)
【已刪除】⑴
(10 分)
【已刪除】⑵
(10 分)
【已刪除】⑶
(15 分)
相關試卷
114年 - 114 公務升官等考試_薦任_物理:微積分#133273
114年 · #133273
114年 - 114 一般警察特種考試_三等_消防警察人員:微積分#127792
114年 · #127792
113年 - 113 普通考試_天文:微積分#121499
113年 · #121499
113年 - 113 一般警察特種考試_三等_消防警察人員:微積分#120498
113年 · #120498
112年 - 112 公務升官等考試_薦任_物理:微積分#117315
112年 · #117315
112年 - 112 普通考試_天文、氣象:微積分#115417
112年 · #115417
112年 - 112 一般警察特種考試_三等_消防警察人員:微積分#114953
112年 · #114953
112年 - 112 身心障礙特種考試_四等_氣象:微積分#113932
112年 · #113932
111年 - 111 普通考試_氣象:微積分#109324
111年 · #109324
111年 - 111 一般警察特種考試_三等_消防警察人員:微積分#108604
111年 · #108604