阿摩線上測驗
登入
首頁
>
微積分
> 102年 - 102年高等三級暨普通考高考三級_核子工程#25558
102年 - 102年高等三級暨普通考高考三級_核子工程#25558
科目:
微積分 |
年份:
102年 |
選擇題數:
0 |
申論題數:
8
試卷資訊
所屬科目:
微積分
選擇題 (0)
申論題 (8)
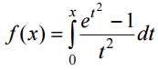
【已刪除】⑴設
,求
與
。(10 分)
【已刪除】⑵設 w = f (x, y,t) , x = g( y,t) , y = h(t),求
。(10 分
【已刪除】⑶設
,求
。(10 分)
【已刪除】二、設
為正常數且
為正實數。求
(15分)
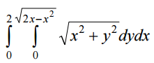
【已刪除】⑴求
。(10 分)
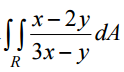
【已刪除】⑵求
,而 R 為直線x − 2y = 0,x − 2y = 4,3x − y =1與3x − y = 8所圍繞之 平行四邊形。(15 分)
【已刪除】四、求
之特解。(15 分)
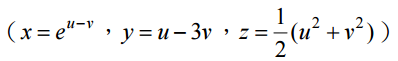
【已刪除】五、求曲面
在點(1, -2 ,1)的切平面方程式。(15 分)
相關試卷
114年 - 114 公務升官等考試_薦任_物理:微積分#133273
114年 · #133273
114年 - 114 一般警察特種考試_三等_消防警察人員:微積分#127792
114年 · #127792
113年 - 113 普通考試_天文:微積分#121499
113年 · #121499
113年 - 113 一般警察特種考試_三等_消防警察人員:微積分#120498
113年 · #120498
112年 - 112 公務升官等考試_薦任_物理:微積分#117315
112年 · #117315
112年 - 112 普通考試_天文、氣象:微積分#115417
112年 · #115417
112年 - 112 一般警察特種考試_三等_消防警察人員:微積分#114953
112年 · #114953
112年 - 112 身心障礙特種考試_四等_氣象:微積分#113932
112年 · #113932
111年 - 111 普通考試_氣象:微積分#109324
111年 · #109324
111年 - 111 一般警察特種考試_三等_消防警察人員:微積分#108604
111年 · #108604