所屬科目:警專◆甲組數學
1. 計算 (A) (B) (C) (D)
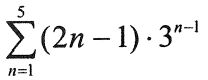
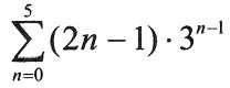
2. 級數1·30+3·31+5·32+7·33+9·34= (A) (B) (C) (D)
3. 設複數 z = i103+5i18,其中i=,則 z = (A) −6 (B) 5+i (C) 5−i (D) −5−i
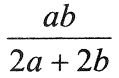
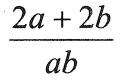
4. 設A(a),B(b)是數先上給定的兩點,其中a>0,b>0,若點P(x)介於A,B之間,且,則x= (A) a+b (B) (C) (D)
6. A(3 , −2)、B(9 , −2)、O(0 , 0),直線 L:2x−y=4上有一點P滿足,= (A)5 (B)6 (C)8 (D)10
8. 已知△ABC中,,則長為 (A)7 (B)10 (C)12 (D)14
11. log2=a,log3=b,則= (A) 2a−b−1 (B) 2a+b+1 (C) 3a−b−1 (D) 3a+b−1
13. 袋中有 1 號球1個,2號球2個,3號球3個,4號球4個。今由袋中任取一球(每球被抽中的機會均等),若抽得k號球可得k元,則任意抽取一球的期望值為 (A) (B)3元 (C) (D)
14. 有一圓 C 通過點(5,5),且與圓:x2+y2−4x−2y=0有相同的圓心,則圓C的面積為 (A)9π (B)16π (C)20π (D)25π。
19. 擲一枚均勻的硬幣四次,則至少出現三次正面的機率為 (A) (B) (C) (D)
20. 給定一正三角形 ABC,若向量內積,則三角形 ABC 的周長為 (A)6 (B) (C)9 (D)
23. 設−2π≤x≤2π,則方程式的所有實根的和為 (A)2π (B)3π (C)4π (D)5π
24. 設 A,B為樣本空間S中的兩事件,若A,B是獨立事件且P(A)=,P(A∪B)=,則P(B)= (A) (B) (C) (D)
25.(A)(B)(C)(D)1
27. 若恰有兩個相異實根,則實數之範圍為 (A)(B) (C)(D)
28. 設a,b為實數,若方程式x4−5x3+2x2+ax+b=0有一虛根,則a+b= (A)−10 (B)−12 (C)−14 (D)−16
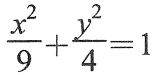
29. 橢圓Γ:上任一點P,到直線L:x−2y+15=0的距離之最小值為 (A) (B) (C) (D)
30. 設為坐標空間中三向量,並以 表示 與 的外積。若,,且在上之正射影向量為(−12,15,−9),則由為相鄰三邊所展成的平行六面體體積為 (A)50 (B)100 (C)150 (D)200
31. 坐標平面上,一直線L的x截距為2,y截距為3,則下列哪些選項是正確的? (A)點(4,3)在L上 (B)L的圖形不經過第二象限 (C)直線L的斜率為 (D)L與直線 3x+2y=0垂直 (E) 向量(3,−2)為L的一個法向量
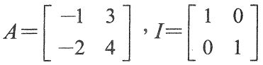
32. 二階方陣,若(3I − A)的乘法反方陣為,則下列哪些選項是正確的? (A) a<0 (B) a=2b (C)b=d−c (D) a+c=b+d (E) a+b=c+d
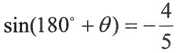
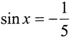
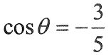
33. 若,且90°<θ<180°,則下列哪些選項是正確的? (A) (B) (C) (D) (E)
34. 已知P(2,3,−4)是坐標空間上的一定點,則下列哪些選項是正確的? (A)P到xy平面的距離為4 (B)P到x軸之距離為5 (C)P到原點距離為 (D)P在yz平面的正射影點為(0,3,−4) (E)P對於x軸的對稱點為(−2, 3,−4)
35. 設函數,則下列哪些選項是正確的? (A)f (0)=3 (B)f (1)=5 (C) (D)(E)
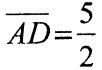
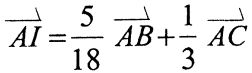
36.已知△ABC中,,∠ACB的角平分線交於D,I為△ABC之內心,則下列哪些選項是正確的? (A) (B) (C) (D)(E)
37. 已知空間中二點A(1,2,3),B(4,5,6),平面E:x-y+z=1,直線AB交E於P, 則下列哪些選項是正確的? (A) 點(7,8,9)在直線AB上 (B)點A與E的距離為 (C)線段AB的垂直平分面方程式為x+y+z=21 (D) (E) P點坐標為(0,1,2)
38. 設複數 z=cos 60°+isin 60°,則下列哪些選項是正確的? (A)z3=1 (B) (C)|z4|=1 (D)z5=z11 (E)|z−z2|=1
39. 有甲,乙兩個袋子,甲袋內有大小相同的黑球1個和白球3個,乙袋內有大小相同的黑球2個和白球4個。現從甲、乙兩個袋內各任取1個球(每個球被取到的機會均等)。設隨機變數X為取出的2個球中黑球的個數。則下列哪些選項是正確的? (A) (B)(C) (D)X的期望值為 (E)X的標準差為
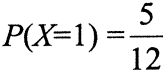
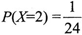
40. 關於雙曲線Γ:x2−y2−2x+2y−3=0之敘述,下列哪些選項是正確的? (A)Γ的貫軸在直線y=1上 (B)Γ的兩條漸近線互相垂直 (C)x+y=2為Γ的一條漸近線 (D) 共軛軸長為3 (E)為Γ的一個焦點