阿摩線上測驗
登入
首頁
>
微積分
> 104年 - 104年升官微積分#41247
104年 - 104年升官微積分#41247
科目:
微積分 |
年份:
104年 |
選擇題數:
0 |
申論題數:
7
試卷資訊
所屬科目:
微積分
選擇題 (0)
申論題 (7)
一、試求 f ( x) = (2 x
2
+ x + 1)
4
之圖形在點 (0, 1) 之切線斜率。(10 分) 1 1
【已刪除】二、試求積分
。(15 分)
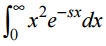
【已刪除】三、試求瑕積分
,其中 s > 0 。(15 分) 0
【已刪除】四、試求 f ( x) =
在 x = 0 之第四階(4th order)泰勒多項式(Taylor polynomial)。 (15 分)
五、試判斷 f ( x) = x
2
− 4 y
2
+ 4 x + 8 y + 6 是否有相對極值(relative extreme value)。若有, 亦請判斷是極大或極小值。(15 分)
【已刪除】六、試求重積分
。(15 分)
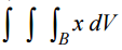
【已刪除】七、設 B = {( x, y, z ) | 0 ≤ x ≤ 1,0 ≤ y ≤ 1,0 ≤ z ≤ 1,0 ≤ x
2
+ y
2
+ z
2
≤ 1}。 試求三重積分
。(15 分)
相關試卷
114年 - 114 公務升官等考試_薦任_物理:微積分#133273
114年 · #133273
114年 - 114 一般警察特種考試_三等_消防警察人員:微積分#127792
114年 · #127792
113年 - 113 普通考試_天文:微積分#121499
113年 · #121499
113年 - 113 一般警察特種考試_三等_消防警察人員:微積分#120498
113年 · #120498
112年 - 112 公務升官等考試_薦任_物理:微積分#117315
112年 · #117315
112年 - 112 普通考試_天文、氣象:微積分#115417
112年 · #115417
112年 - 112 一般警察特種考試_三等_消防警察人員:微積分#114953
112年 · #114953
112年 - 112 身心障礙特種考試_四等_氣象:微積分#113932
112年 · #113932
111年 - 111 普通考試_氣象:微積分#109324
111年 · #109324
111年 - 111 一般警察特種考試_三等_消防警察人員:微積分#108604
111年 · #108604