阿摩線上測驗
登入
首頁
>
教甄◆數學專業
> 105年 - 105年臺南二中教甄數學試卷﹝105年度#51735
105年 - 105年臺南二中教甄數學試卷﹝105年度#51735
科目:
教甄◆數學專業 |
年份:
105年 |
選擇題數:
2 |
申論題數:
17
試卷資訊
所屬科目:
教甄◆數學專業
選擇題 (2)
複選題
1.設
,且
,其中 n 為正整數,試問下列哪些選項是正確的﹖(A)滿足 z
k
>0 的最小正整數 k 之值為 6 (B) a
1
=
(C) a
6
>1/64(D)<a
n
>為等比數列,公比是 1/2 (E)
<1
複選題
2.已知三次函數 f ( x) 在x = - 1處有極大值2﹐且
﹒試問下列哪些選項是正確的﹖ (A) f (3) 2 = - (B) f '(3) =0 (C)方程式 f (x )= 0 恰有三相異實根 (D) f ( x) 的反曲點為(1,0) (E) f ( x) 在 x = 1處 附 近 的 圖 形 凹 口 向 下
申論題 (17)
1.考慮曲線 y= log
2
x 和 y = log
3
x,以及直線 x = 2
10
所圍成的區域 ( 包含邊界 ) , 求該區域中所包含的格子點的個數為 _____。
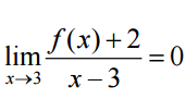
【已刪除】2. m
R ,若
= m (x-2)+2 恰有二實根,求 m 之範圍為 _____。
【已刪除】3.設
, 則 x y z =_____ 。
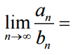
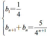
【已刪除】4.若
,n 是正整數 ,並設 Sn 表示〈 bn 〉的前 n 項和, 則使得
的最小正整數 n 為_____ 。
5.設 a、b 為正數,若 a
20
的整數部分是 32 位數, b
-30
的小數點後第 60 位始不為 0,求 (ab)
10
的整 數部分是幾位數?_______
【已刪除】6.設平面上三向量
滿足
且
,求
上的正射 影長為_________。
7.設有一 3 ✖3 單位正方形所成的方格 ( 由 9 個邊長為 1 的正方形所構成的大正方形 ) ,每一個單位 正方形都要塗上藍色或紅色,兩種顏色被使用的機率都相等,若 3 ✖3 單位正方形所成的方格中, 沒有任何一個 2✖ 2 單位正方形所成的方格為紅色的機率為_____ 。
【已刪除】8.已知三次函數 y=f(x+2)的圖形如右圖, 則不等式(x-3)f(x)<0 的解為_____ 。
【已刪除】9.右圖是空間坐標中的一個長方體, 已知
P,Q 分別為長方體
上的中點, R 為邊
上一點, 若
相交於一點,試求
=_____ 。
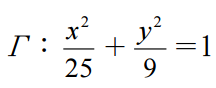
【已刪除】10.設橢圓Γ:
上有一點 P 位於第一象限, 兩焦點為 F
1
與 F
2
,若△PF
1
F
2
的內切圓半徑為 1, 則 P 點的坐標為_____ 。
【已刪除】11.函數 y=
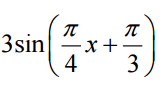
的部分圖形如圖所示﹒已知 P 為圖形的最高點﹐ A﹐ B 為圖形與 x 軸的交點﹐求 tan∠APB= ________。
(1)∣z-8∣=6,
(2)∣z+1∣=∣z-i∣, 求∣z1-z2∣=_____ 。
【已刪除】三、計算證明題(占 30 分)(需將演算過程寫在答案卷上,並註明題號)
1. 如右圖,△ABC 中,
。
已知
,D 為
上一點,且
平分∠CAB,
若 P 為
中點且
於 F,
G 為△ABC 之重心,而
則數對(x,y)為何?(7 分)
【已刪除】2.
則
為何?(7 分)
3.甲、乙兩人以「剪刀、石頭、布」猜拳 5 次,兩人的策略都是: 如果這一次出拳猜贏,下一次出相同的拳; 如果這一次出拳猜輸,下一次從另外兩拳擇一出拳,兩拳的選擇機率相同; 如果這一次出拳平手,下一次從「剪刀、石頭、布」擇一出拳,且選擇的機率相同。 若第一次甲猜贏,求第四次兩人平手的機率?(8 分)
【已刪除】4. 一張紙上面有半徑為 R 的圓 O 和圓內一定點 A,且
=a ,摺疊紙片使圓周 上某一點 A' 剛好與 A 重合,這樣每一種折法都留下一條直線摺痕,當 A' 取遍 圓周上所有點時,則所有摺痕所在的直線上的點所成的圖形為何?並證明之。(8 分)
相關試卷
115年 - 115 國立高科實驗高級中等學校_專任教師甄選_國中部︰數學領域數學專長#138920
115年 · #138920
114年 - 114-1 臺北市立松山高級商業家事職業學校_教師甄選題目:數學#138394
114年 · #138394
114年 - 114 新北市立國民中學_教師聯合甄選試題: 數學科#127346
114年 · #127346
114年 - 114 國立臺灣藝術大學_綜合學科測驗﹕數學#126930
114年 · #126930
114年 - 114 國立彰化高級中學_教師甄選初試試題:數學科#126821
114年 · #126821
114年 - 114 臺北市立陽明高級中學_正式教師甄選試題:高中數學科#126749
114年 · #126749
114年 - 114 國立師大附中_教師甄選︰數學#126229
114年 · #126229
113年 - 113 金門縣國民中學正式教師聯合甄選初試試題:數學#120861
113年 · #120861
113年 - 113 新北市公立高級中等學校教師聯合甄選試題:數學#120730
113年 · #120730
113年 - 113 桃園市國民中學新進教師甄選試題:數學科#120523
113年 · #120523