阿摩線上測驗
登入
首頁
>
微積分
> 105年 - 105年高等三級暨普通考普通微積分 #54262
105年 - 105年高等三級暨普通考普通微積分 #54262
科目:
微積分 |
年份:
105年 |
選擇題數:
0 |
申論題數:
6
試卷資訊
所屬科目:
微積分
選擇題 (0)
申論題 (6)
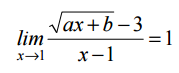
【已刪除】一、求適當的實數a和b滿足下列極限等式
。 (15 分)
二、求函數 f (x) = sin x在x = π / 2的泰勒級數(Taylor series),且決定此級數的收斂區間 (interval of convergence)。(15 分)
三、在定義為
x
2
+4y
2
≤ 24的金屬橢圓盤上,每點的溫度函數為 T(x, y) = x
2
+ 2x + y
2
。 求在金屬橢圓盤上溫度函數T 最高溫和最低溫的值,並且求分別對應最高溫和最低溫 的點。(20 分)
【已刪除】四、假設一個xyz空間實體(solid)D 是由兩個圓柱
所交集出來的空間區域。求此實體 D 的體積為何。(20 分)
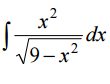
【已刪除】⑴
。(15 分)
【已刪除】⑵
。(15 分)