所屬科目:教甄◆數學
1. 坐標平面上,若拋物線 的頂點在第一象限,且圖形的開口向下,則直線 不通過哪一象限? (A)第一象限 (B)第二象限 (C)第三象限 (D)第四象限
2. 坐標平面上,滿足 的所有點 ( x, y ) 所形成的圖形為何? (A)斜率為的直線 (B)斜率為 2 的直線 (C)開口向上的拋物線 (D)開口向下的拋物線
3. 若實係數多項式 f( x ) 除以的餘式為 x -1 ,則下列哪一個選項不正確? (A) f (x) 除以 x -1 的餘式為 0 (B) f( x) 除以 x - 2 的餘式為 1 (C) f (x) 除以 的餘式為 x -1 (D) f( x) 除以 的餘式為 -x + 1
4. 設,若將函數 迭代 n 次記為,例如 ,則? (A) (B) (C) (D)
6. 摸彩箱中有編號 1,2,3,4,5 的球共 15 個,其中 k 號球有 k 個( k =1,2,3,4,5 ),摸取到 k 號球可獲得 100✕k 元的獎金。 若每一球被取到的機率均等,則摸取一球可獲得獎金的期望值為何? (A) (B) (C) (D)
7. 若 ,則 的值為何? (A)(B) (C) (D)
10. 關於三數的大小關係,下列哪一個選項是正確的? (A)a > b > c (B)a > c > b (C)b > a > c (D)b > c > a
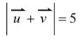
11. 已知向量 與 滿足、、 ,則由 與展成的三角形面積為何? (A)3 (B)5 (C)8 (D)10
12. 袋中有 5 個紅球、 3 個白球、 2 個黑球,共 10 個球。今從袋中取球,每次取出一球,取出不放回。若每一球被取到 的機率均等,則直到第五次才取出全部白球的機率為何? (A) (B) (C) (D)
13. 設 A、B 為兩個集合,函數定義為 ,若 ,則集合 A 中最多有幾個元素? (A)5 (B)6 (C)7 (D)8
14. 若 a、b 為實數,且 ,則存在一實數 x 滿足 且的充要條件為何? (A)b(b+1) < 4a 2 (B)b(b+1) > 4a 2 (C)b(b+1) < a 2 (D)b(b+1) > a 2
15. 坐標平面上,若直線 L 通過點 (2,2a ) 與 (4,4a ) ,且與直線垂直,則 a 的值為何? (A) (B) (C) (D)
16. 若 與有相同的解區間,則 ( a ,b )= ? (A) (-1, 2) (B) (-1, 3) (C) (0, 3) (D) (1, 3)
17. 設 a 為一實數, ,則 M 的非空子集合有幾個? (A)1 個 (B)2 個 (C)3 個 (D)4 個
18. 若,則 ? (A)- 2 (B) -1 (C) 0 (D) 1
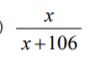
19. 設 R 為坐標平面上由所圍成的區域。若點 ,使得有最大值 m,則 m = ? (A) (B) 1 (C) (D) 2
20. 某高中調查全校學生的嗜好發現,每 10 位學生中有 6 位喜歡打籃球,也有 7 位喜歡玩手機遊戲。已知學生喜歡打籃 球與喜歡玩手機遊戲為獨立事件,則隨機遇到一位該校學生不喜歡打籃球、也不喜歡玩手機遊戲的機率為何? (A) (B) (C) (D)
21. 若整係數多項式函數滿足 f (0) = 0、 f (1) =1,且 ,則 f (3) = ? (A)36 (B)37 (C)38 (D)39
22. 若 階方陣 A ,滿足 ,則下列哪一個選項是正確的? (A) x = 21 (B) x = 22 (C) y = 34 (D) y = 35
23. 設海巡署某觀測站位於 A 處獲悉,在其正東方向相距 20 海浬的 B 處有一艘漁船(甲船)故障等待營救。海巡署立即 把消息告知在海巡署的南偏西 30 ,相距 10 海浬 C 處的乙船。若乙船朝北偏東 α 度的方向沿直線前往 B 處救援甲船, 則 cosα° 之值為何? (A) (B) (C) (D) (E)送分
24. 設△ABC 為邊長 a( a > 0 )的正三角形,頂點 A 在正 x 軸上,頂點 B 在正 y 軸上,頂點 C 與原點 O 在的異側; 若讓 A、B 兩點在坐標軸上移動,則頂點 C 的軌跡為何? (A)拋物線的一部分 (B)雙曲線的一部分 (C)橢圓的一部分 (D)圓的一部分
25. 設數列〈 a n 〉的前 n 項部分和為 Sn ,若對所有的正整數 n 都滿足 ,則a 11 = ? (A) (B) (C) (D)
26. 函數 的最大值為何? (A) 2 (B) 5 (C)(D) 3
28. 已知無窮數列< a n> 定義如下: ,即,則 =?(A)(B)(C)(D)
31. 在△ABC 中, = 3、 = 5 且 = ° ABC 120 。若過△ABC 的內心且與 平行的直線分別與 、 交於點 P 與 點 Q ,則△APQ 的周長為何?(A)10(B)(C)12(D)
34. 滿足 的 x 之範圍為何? (A) (B) -1< x <1 (C) 2< x < 4 (D) 0 <x < 3
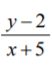
35. 設 ,則 y 的最小值為何? (A)6 (B)5 (C)4(D)3
36. 在圓內接四邊形 ABCD 中,已知 ∠A =105°、∠ABD = 45° 且∠CBD= 60 °,則 = ? (A) 1:1 (B) 1: (C) 1: (D) :
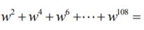
37. 設<a n > 為等差數列,它的公差 d > 0 且 a1 = 3 。若 ,則 ? (A)1 (B)2 (C)3 (D)無限大
38. 若方程式 (其中 a 為實數),至少有一個絕對值為 3 的複數根,則 a 所有可能的值之和為多少? (A) 10 (B) 10 -(C) 11 + (D) 12-
40. 設凸四邊形 ABCD 的兩對角線交於點 O 。若△OAB、△OBC、△OCD 的面積分別為 12、11、14,且 P 為 的中點, 則△PBC 的面積為何? (A)22 (B)24 (C)26 (D)28