所屬科目:教甄◆數學
1. 設有一種檢驗新冠肺炎的儀器,依據過去的經驗得知:罹患此病的人,有90%的機率 經此儀器檢驗會呈現陽性反應(感染此傳染病) ;不患此病的人,也有6%的機率會被 誤檢而呈現陽性反應。已知某一地區的居民接受此儀器的檢驗後,呈現陽性反應者, 最後證實有 的比例是沒有感染此傳染病的,則該地區居民罹患此傳染病的百分比為何? (A)8% (B)12% (C)17% (D)23%。
3. 方程式| cos x |+ cos x - log4 x = 0 有幾個實數解? (A)3 (B)4 (C)5 (D)6。
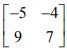
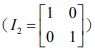
4. 設矩陣A= ,則 為下列何者? (A) (B) (C) O2 (D) 4I2
5. 已知點 P 為邊長為√2的正四面體 ABCD 內的任意一點, P 到四個面的距離分別為 d1 、 d 2 、 d 3 、 d 4 ,則 的最小值為何? (A) (B) (C) (D)
6. 如圖,已知正四面體 ABCD 中, 。 設向量與向量的夾角為 Θ ,求 sin Θ 的值為何? (A) (B) (C) (D)
7. 一個幾何體的三視圖如圖所示:側視圖是一個邊長為 1 的正三角形,俯視圖是兩個正三角形拼成 的菱形,試問這個幾何體的體積為何? (A) (B) (C) (D)
8. 如圖,東西方向有四條道路,南北方向有五條道路。已 知在交叉點處,往東或往北走的機率相同;若只能往一 個方向走時,機率則為 1 。從 A 點出發沿著道路走捷徑 至 C 點,中途不經過 P 點的機率為何? (A) (B) (C) (D)
9. 已知向量 (a1 , b1 , c1 ) 、 (a2 , b2 , c2 ) 不平行,且方程組 有一組解(1,2,3);而方程組有一組解(3,2,1),則下列哪些選項亦為方 程組Γ' 的解? (A) (0, 0, 0) (B) (4, 4, 4) (C) (2, 0, - 2) (D) (10,16, 22)
11. 某班的數學定期考因成績太低,老師決定依據線性函數分數加分,加分後每位同學從分提高至分,其中關係式為,且 a, b > 0;結果老師發現調整後的成績 D 仍偏低,決定進行第二次線性調分,經過調分後每位同學從分調整為分,其中的 關係式為 。經過兩次調整後,全班每位同學的分數都比原始成績還要高, 而且最高分調整為 100 分。已知小華從原來的 12 分經過兩次調整後提高至 48 分,而 小明從原來的 28 分經過第一次調整後的分數為 55 分。依照上述條件,下列哪些選項 敘述為真? (A)的標準差與的標準差相等 (B)小華第一次調整後的分數為 36 分 (C) ab = 25 (D)全班最高分的同學,第一次調分所得的分數與第二次調分所得的 分數是相同的。
12. 設 為一正立方體的四個頂點,則下列的哪 D 些點也為此正立方體的頂點? (A)(B)(C) (D)
一、填充題 1.若有兩個相異實根,試求實數 m 的範圍。
2.試求所有滿足的自然數 n 的總和。
3.設 [x]代表不超過 x 的最大整數,求之值。
4.有邊長為 10 的正方形 ABCD。設的中點 M,A 關於 的對稱點為 E 時,則 △BCE 的面積為______平方單位。
5.如下圖四個相同正方形連接而成,則之值為____。
6. z是複數,且,則 z=______。
7.已知集合,則當實數 m=_______時,有三個元素。
9.已知 [x]為高斯符號,表示不超過 x 的最大整數。求方程式的整數解 x =_____。
二、證明題(每題8分,共24分) 1.設 a,b,c分別表 △ABC 之 ∠A、∠B 和 ∠C 的對邊長, ∠B=60°,證明:=3 。
2.複數 z 和 w 滿足 zw-2iz-iw-5=0, | z | =2。證明:| w-i | = 2。
3.證明: