所屬科目:教甄◆特殊教育專業
26. 下列選項中的數值中,哪一個為最小? (A) (B) (C) (D)
27. 重複投擲兩顆公正的標準骰子,直到出現的點數和為奇數為止。請問最終出現的點數和為 7 的機率為多少? (A) (B) (C) (D)
29. 設 u, v, w 為三個空間向量,其中 u 與 v 垂直,v 與 w 垂直。已知這三個向量中有一 個長度為 1、有一個長度為 2、剩下一個長度為 3。則向量 u+v+w的長度的最大可 能值為多少? (A) (B) (C) (D)
30. 矩陣運算的結果等於下列哪一個選項? (A) (B) (C) (D)
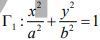
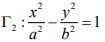
31. 設 a, b 為兩正數,且 a>b。考慮橢圓以及雙曲線。請問下列哪一個選項的長度最大? (A) Γ1 的長軸長 (B) Γ1 的兩焦點距離 (C) Γ1 的短軸長 (D) Γ2 的兩焦點距離
32. 設f(x)為實係數三次多項式函數,且知 f (1) - f (0)= 3、f (2)-f(1)=4 、 f (3)-f(2)=7 。則f (4)-f(3)之值為何? (A) 9 (B) 10 (C) 11 (D) 12
33. 某三角形的三邊長分別為 5、6、9 單位。請問該三角形的內切圓半徑與外接圓半徑的乘積為多少平方單位? (A) (B) (C) (D)
34. 設正整數 n 滿足下述性質:對任意正整數 a,如果 a 與 111 互質,則 除以 111 的 餘數為 1。請問 n 的最小可能值為多少? (A) 72 (B) 84 (C) 96 (D) 110
36. 如圖, y=f(x)的函數圖形是一條折線,其與 x 軸圍出甲、乙兩個三角形,面積均為 1。請選出正確的選項? (A) (B) (C) (D)
39. 下列哪一個圖形,不是三次多項式函數的圖形? (A) (B) (C) (D)
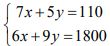
40. 已知二元一次聯立方程式的解為x=a, y=b 。則9a+8b等於下列哪 一個選項? (A) 570 (B) 710 (C) 1230 (D) 1910
42. 平面上有一梯形 ABCD ,已知平行,且 △BCD 的面積比 △ABD 的面積多 48 平方公分。請問的長度為幾公分? (A) 10 (B) 12 (C) 14 (D) 15
43. 二次函數f(x)=ax2+bx+ c滿足f(1)-2f(4)+f(7)=-54,則 a 值為多少? (A) −3 (B) −1 (C) 1 (D) 3
44. 坐標平面上,二次函數y=x2-3x+a的圖形與 x 軸交於 A、B 兩點,與 y 軸交於 C 點,其中 a 為整數。已知△ABC 的面積為 1,則 a 值為多少? (A) −2 (B) −1 (C) 1 (D) 2
48. 如下圖, △ABC 為等腰直角三角形, ∠B 是直角; 是半圓的直徑, D 為半圓周的中點。已知 ,則陰影部分的面積最接近下列哪個選項的值? (A) 8 (B) 10 (C) 12 (D) 14