所屬科目:教甄◆物理科專業
2. 如下圖所示,在一截面積為 A、粗細均勻的 U 形管中注入水銀,使管中液柱 的長度為 4h,水銀與玻璃間的附著力很小可忽略不計。一開始將 U 形管一 端抽走一些空氣,以手封住管口,使兩液面高度差為 h,液面保持靜止。後 來放開封住管口的手,使水銀液柱自由流動,可見到水銀液面會上下振盪。 當 U 形管兩端水銀液面等高瞬間,液面上下移動的速率為何?(重力加速度為g) (A)(B)(C)(D)
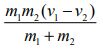
3. 質量各為 m1 和 m2 的木塊甲與乙,如圖所示,分別以 v1 及 v2 的速度在一光滑平面上沿相同方向直線運動。已知 v1 > v2,若質量 m2 的乙木塊連接力常數為 k 的 理想輕彈簧,則彈簧最大壓縮量為下列何者? (A)(B)(C)(D)
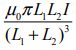
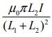
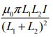
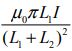
5. 已知 μ0 為真空磁導率,長度為 L1 、 L2 的兩條相同材料及粗細的電阻線圍成一 圓,如圖所示,若電流 I 由 P 點流入,從 Q 點流出,則長度為 L1 線段的電阻線在圓心 O 點建立的磁場量值為下列何者?(A)(B)(C)(D)
6. 在如圖所示電路中,假設電池的內電阻 r 為一定值,當變阻器 R3 的滑動接片 P 向 a 端移動時,下列推論哪些是正確的? (A)伏特計的讀數變小 (B)電池內電阻消耗的功率會變小 (C)安培計的讀數變大 (D)流經 R1 的電流變大 (E)流經 R2 的電流變大
(2)沿線上發生完全相消干涉最遠的點 P,與 A 相距多遠?(4分)
(3)若在距 A、B 光源皆為 1000λ 的位置放一個屏幕,屏幕法向量與平行,則所見亮紋寬度為多少?(3分)