所屬科目:教甄◆數學
1. 若 a、b 為小於 2024 的正整數且= 5,則數對(a, b)有______組可能。
3. 在複數平面上,複數z2在第二象限,滿足|z|= 1 以及,其中i =。若z2的實部為a、虛部為b,則之值為______。
4. 一隻小蟲沿著一個正立方體 ABCD-EFGH 的邊爬行。牠從頂點 A 出發,每分鐘均會從一個頂點走到另一個相鄰的頂點。走了 9 分鐘後,小蟲走到點 G,請問小蟲所走的路線有______ 種不同的可能。
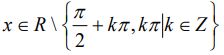
5. 若,則f (x) =| sin x + cos x + tan x + cot x + sec x + csc x |的最小值為______。
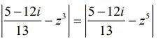
9. 求=______。
10. 坐標平面上,S為 A (10,10)、B (-10,10)、C (-10,-10)、D(10,-10)四點所形成的正方形,S 經矩陣變換後為S '(其中),若 A、B、C、D 恰好在S '的邊界上,則sinθ之值為______。
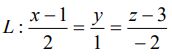
11. 設 A(7,6,3)、B(5,−1,2)與一直線,若在 L 上任取一點 P,使得有最小值,求 P 點坐標______。
12. 如圖所示,直角△ABC 與以為直徑的圓交於 P 、Q 兩點,若=1、= 2 ,則圓形紙板的直徑為______。
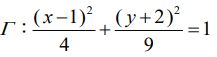
13. 設點P(x, y)在橢圓上,試求點P到直線L:2x-y+6=0有最大距離時的P點坐標______。
14. 假設空間坐標系中滿足x,y,z坐標均為整數的點稱為格子點。現有三點A(1, 2,3), B(2,3,1), C(2t,1,-1+t )滿足△ABC面積不超過,則格子點 C 共有______個。
15. 有一底面為矩形的四角錐,其展開圖與邊長如圖所標示,則此四角錐的體積為______。(化成最簡根式)
16. 設k為實數,若方程式x|x-2|=4x+k恰有一個實根,則k的範圍為______。
17. 小明在 113 年 1 月初向銀行借貸 100 萬元,以月利率2% 複利計算。若他自 113 年 1 月開始,每個月的月底都償還銀行相同的金額,且計畫在兩年(即 24 個月)內還清,則他每個月至少需償還______元。(無條件進位計算到整數位,且約為 1.60843)。
18. 設一直圓錐底半徑為 3,高為 12,有一直圓柱內接於此直圓錐,如圖所示,則此直圓柱的最大體積為______。
二、計算證明題:(1) 在坐標平面上,設△ABC經二階方陣M=作線性變換後成△A'B'C'。若△ABC的面積為△ ,△A'B'C'的面積為△',試證明:△'=。
(2) 試求出滿足|2x + y −113|+|x + 3y − 2024|= 5的所有點(x, y)所圍成的區域面積。